Pēdējā atjaunošana :
27/01/2026
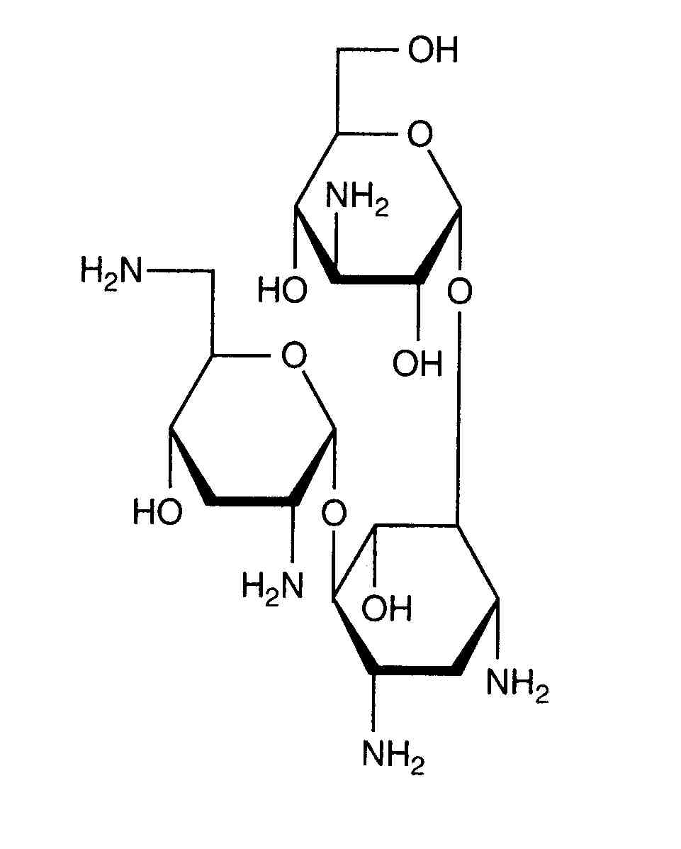
Antibiotika   Tobramycin sulfate   
Acu pilieni
Aerosols Injekcija Orāls šķīdums
Stabilitāte farmaceitisko preparātu Maisījuma stabilitāte Stabilitāti ietekmējoši faktori Saderība Literatūras saraksts pdf
   Ķīmiskā uzbūve   

Acu pilieni
Saderība   Acu pilieni   Saderība : Tobramycin sulfate               
Nav datu

  Mentions Légales