Ultimele actualizari :
27/01/2026
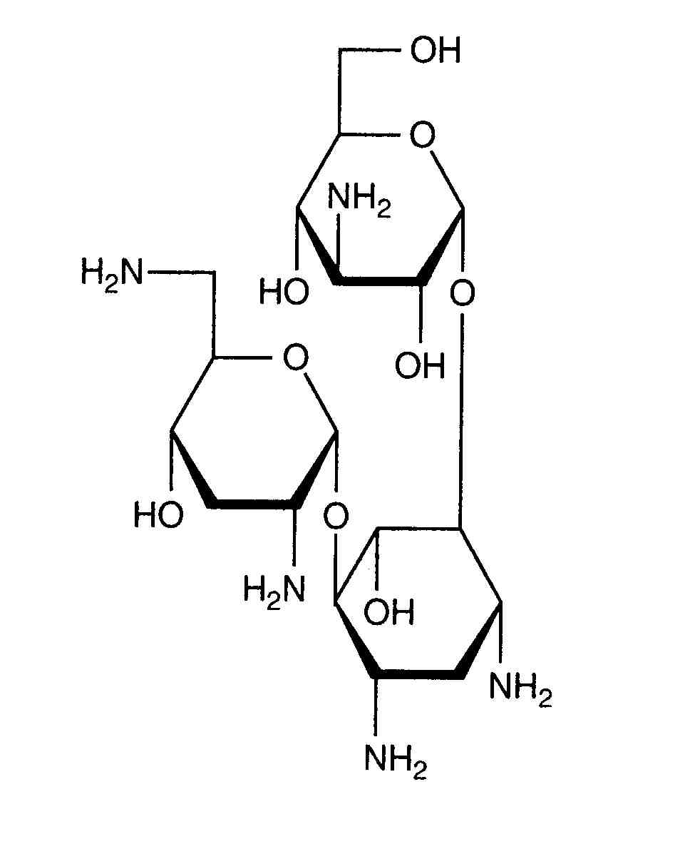
Antibiotic   Tobramycin sulfate   
colir
Aerosol Injectabil Soluţie orală
Stabilitatea preparatelor farmaceutice Stabilitatea in amestec Factorii care influenteaza stabilitatea Compatibilitate Bibliografie pdf
   Formula chimica  

colir
Compatibilitate   colir   Compatibilitate : Tobramycin sulfate               
Absenta de date

  Mentions Légales