zadnja posodobitev :
27/01/2026
Antibiotik   Tobramycin sulfate   
Kapljice za oči
Aerosol Brizgalka Peroralna raztopina
Stabilnost farmacevtskih preparatov Stabilnost mešanice Faktorji, ki vplivajo na stabilnost Kompatibilnost Viri pdf
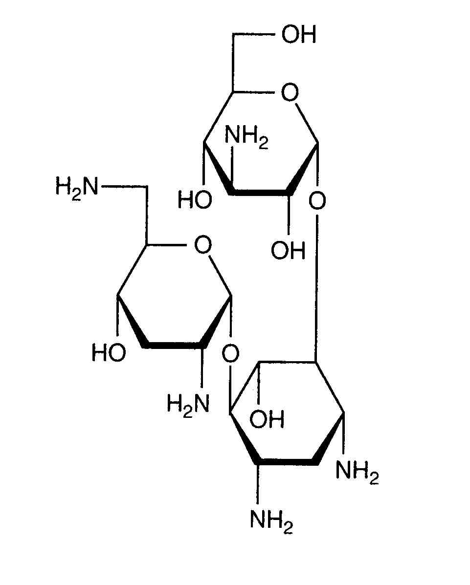
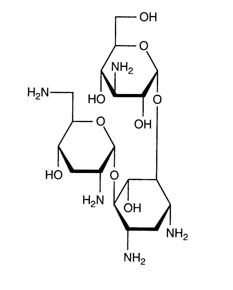
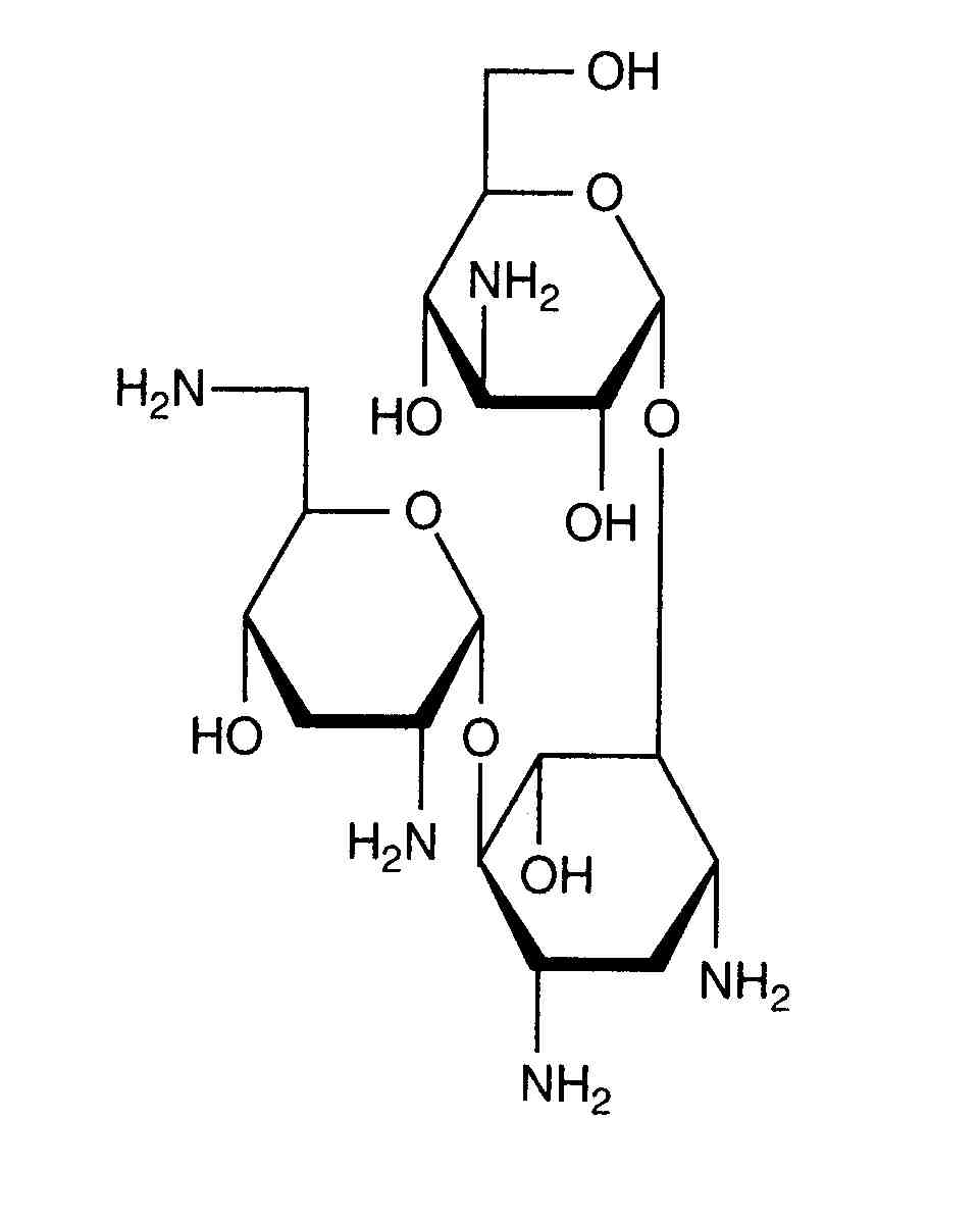
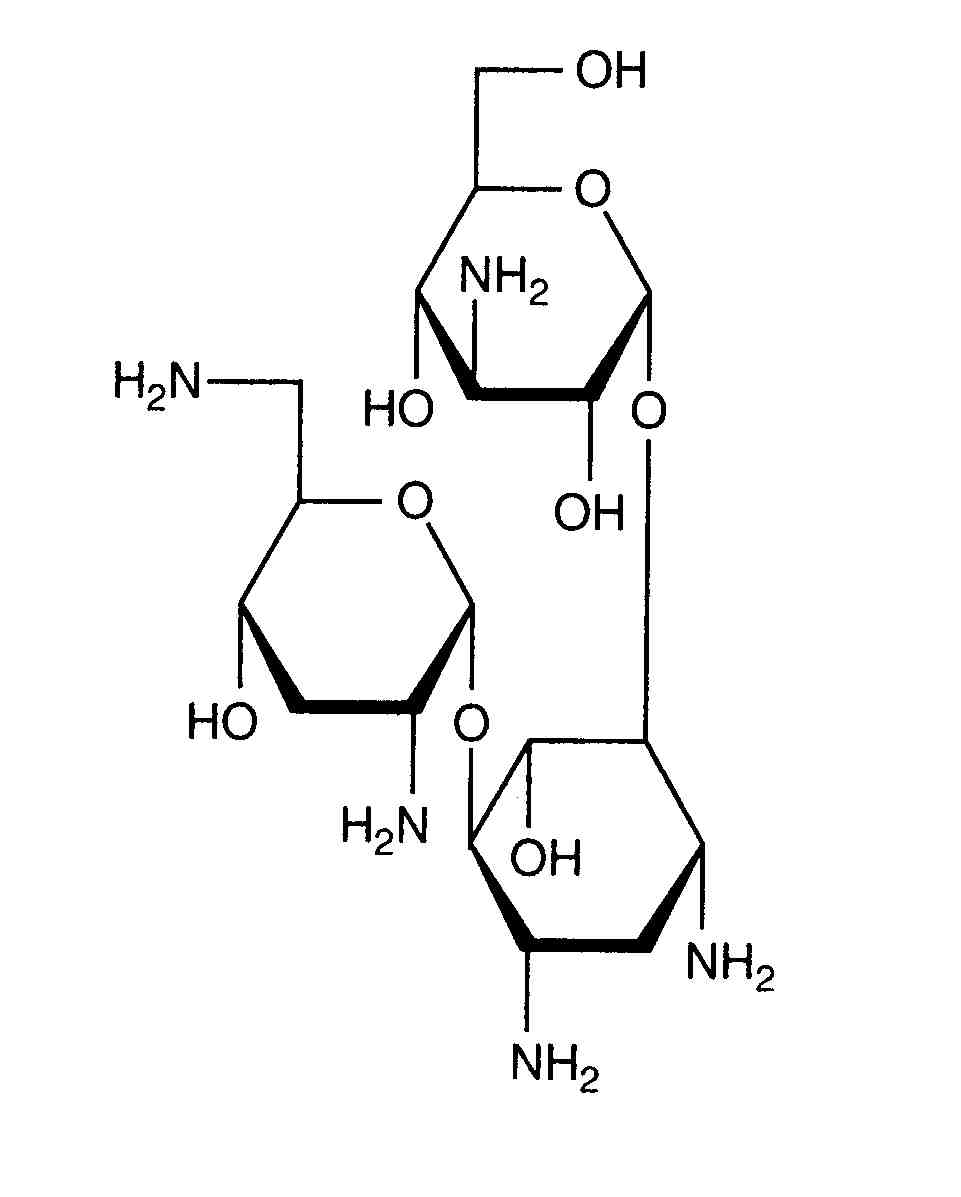
   Kemična formula  

Kapljice za oči
Kompatibilnost   Kapljice za oči   Kompatibilnost : Tobramycin sulfate               
ni podatka

  Mentions Légales