آخر تحديث :
27/01/2026
مضاد حيوي   Tobramycin sulfate   
قطرات العين
الأيروصولات حقن عن طريق الفم
استقرار المستحضرات الصيدلانية استقرار مخاليط العوامل التي تؤثر على الاستقرار التوافق مراجع pdf
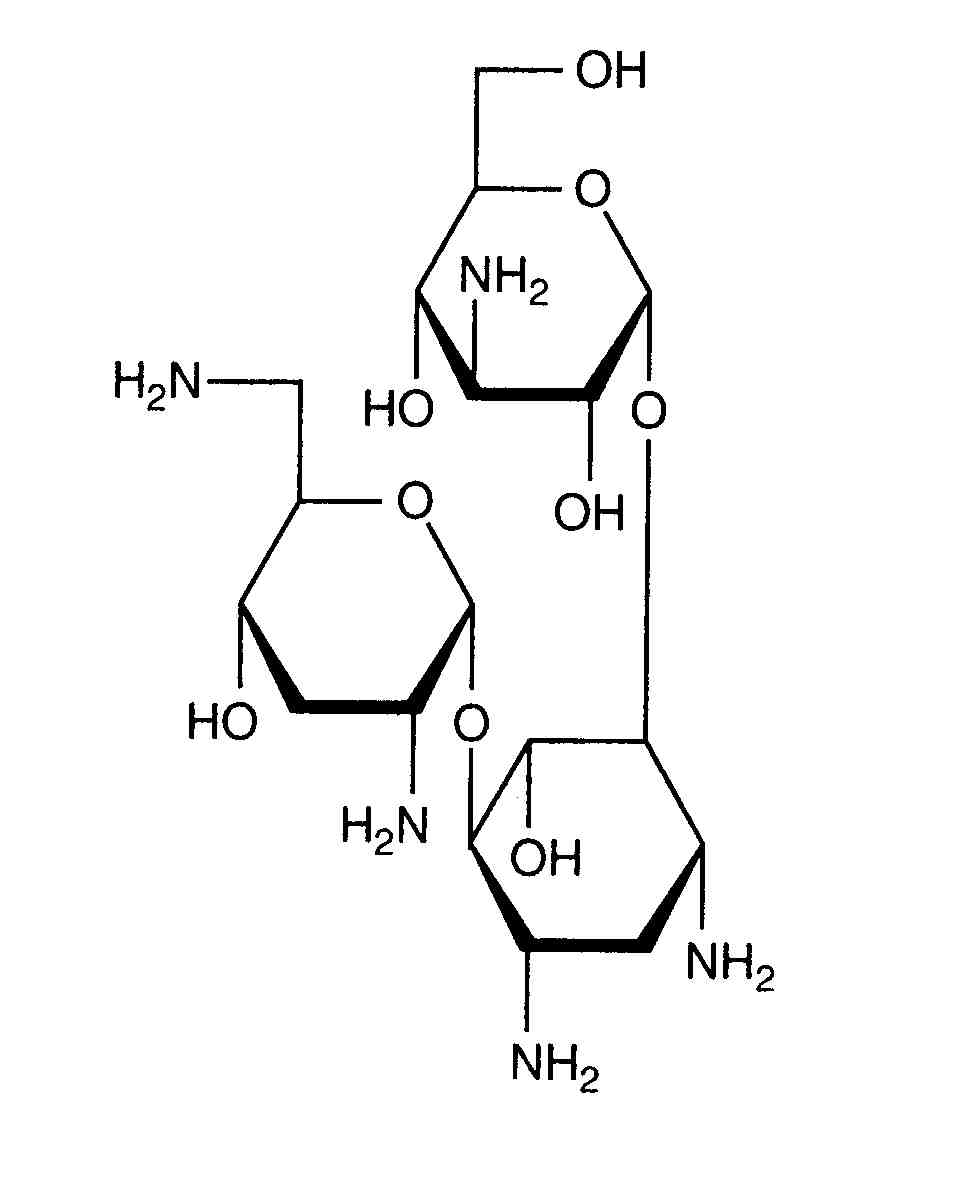
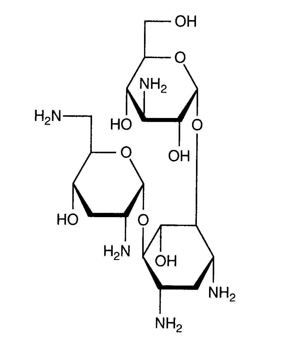
   التركيب الكيميائي  

قطرات العين
التوافق   قطرات العين   التوافق : Tobramycin sulfate               
لا توجد بيانات

  Mentions Légales