Zadnji put ažurirano :
27/01/2026
antibiotik   Tobramycin sulfate   
kapi za oko
aerosol injekcija oralna otopina
Stabilnost farmaceutskih pripravaka Stabilnost mješavine Stabilizacijski faktor Kompatibilnosti Bibliografija pdf
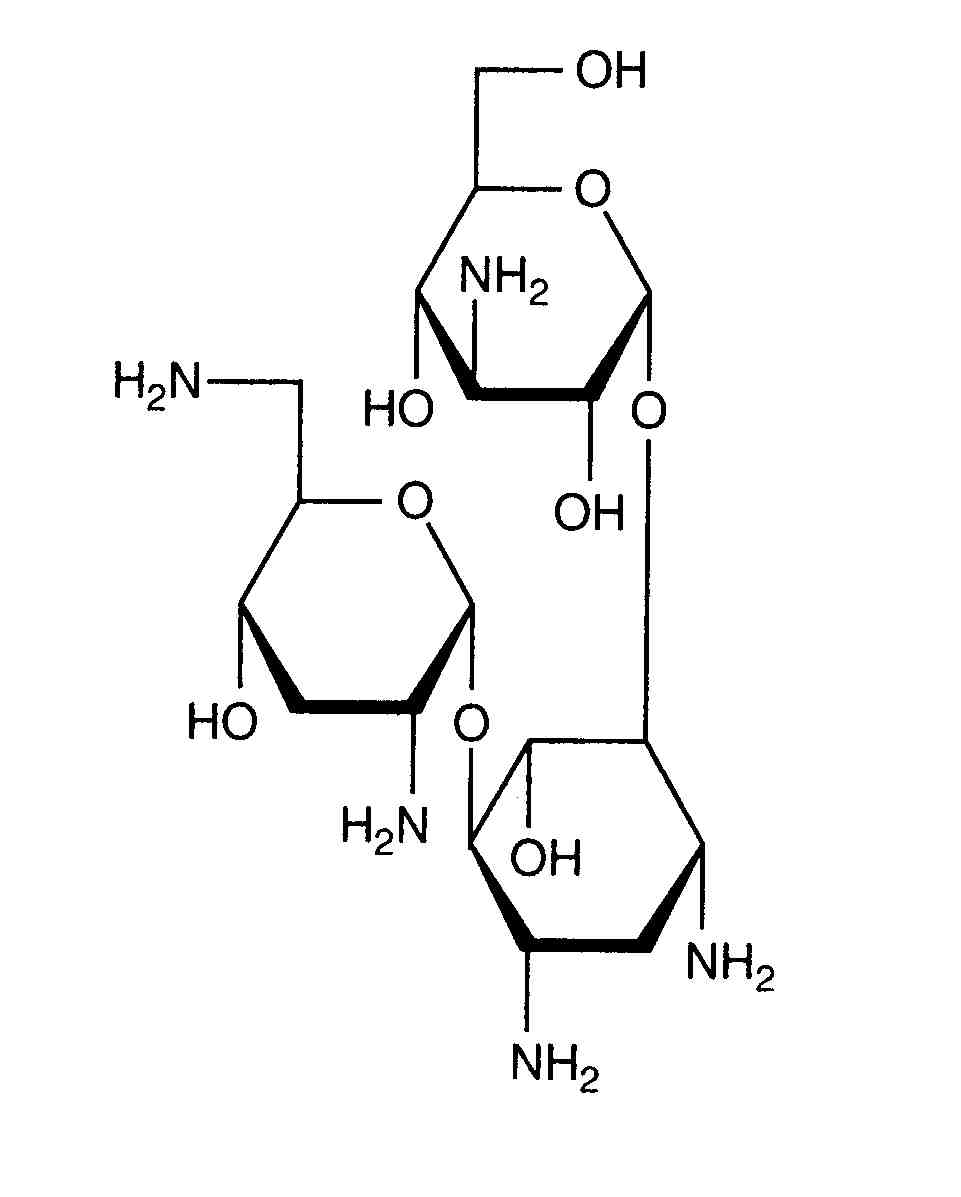
   Kemijska struktura  

kapi za oko
Kompatibilnosti   kapi za oko   Kompatibilnosti : Tobramycin sulfate               
bez podataka

  Mentions Légales