Utolsó frissítés :
27/01/2026
Antibiotikum   Tobramycin sulfate   
Szemcsepp
aeroszol belsőleges oldat Injekció
Stabilitása gyógyszerészeti készítmények A keverékek stabilitása Stabilitást befolyásoló tényezők Kompatibilitás Irodalom pdf
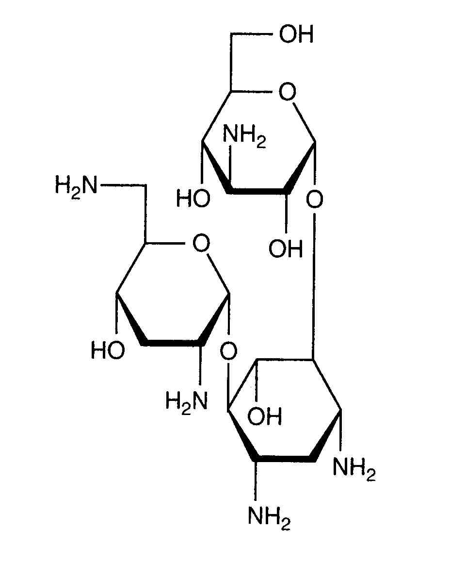
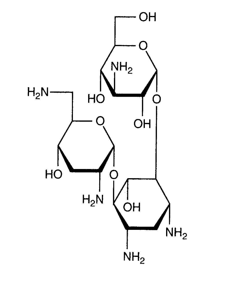
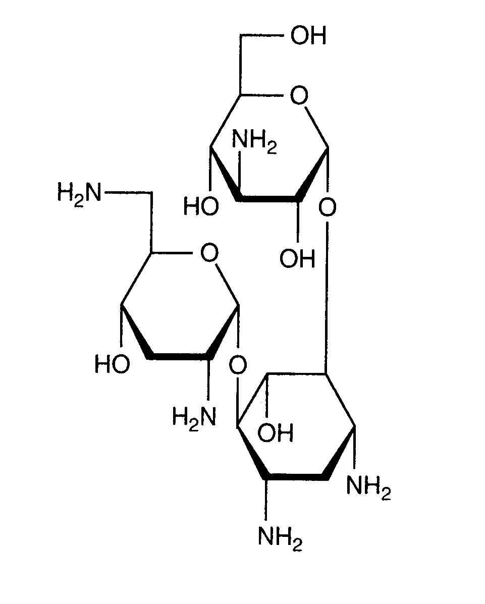
   Kémiai szerkezet   

Szemcsepp
Kompatibilitás   Szemcsepp   Kompatibilitás : Tobramycin sulfate               
Hiányzó adat

  Mentions Légales