Son güncelleme :
27/01/2026
Antibiyotik   Tobramycin sulfate   
Göz damlası
Aerosol Enjeksiyon Oral solüsyon / oral çözelti
Farmasötik preparatlar Kararlılığı Karışımlardaki stabilitesi Stabiliteyi etkileyen faktörler Uyumluluk Kaynaklar pdf
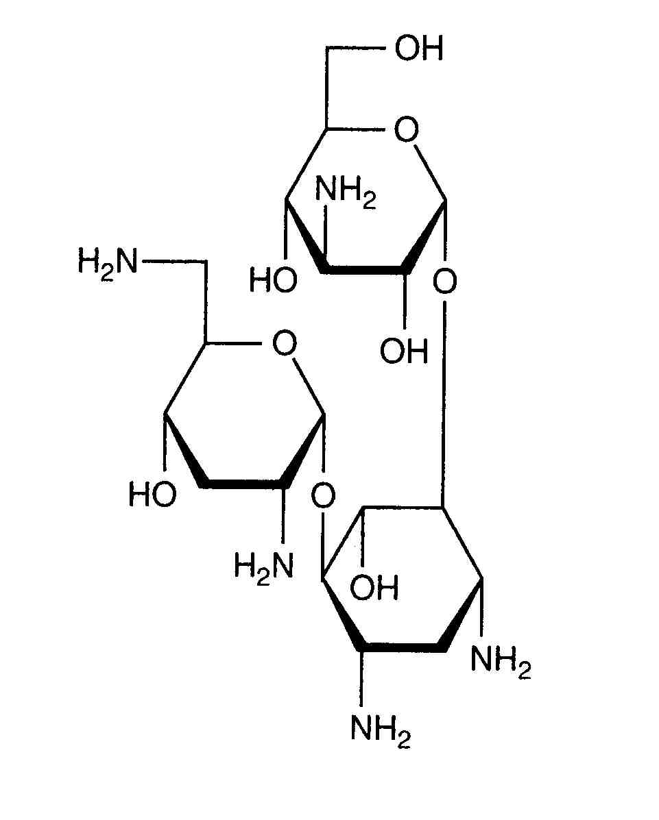
   Kimyasal yapı   

Göz damlası
Uyumluluk   Göz damlası   Uyumluluk : Tobramycin sulfate               
veri yok

  Mentions Légales