Последнее обновление :
27/01/2026
Антибиотик   Tobramycin sulfate   
Глазные капли
Аэрозоль Инъекция Раствор для перорального приёма
Стабильность фармацевтических препаратов Стабильность смесей Факторы, которые влияют на стабильность Совместимость Библиография pdf
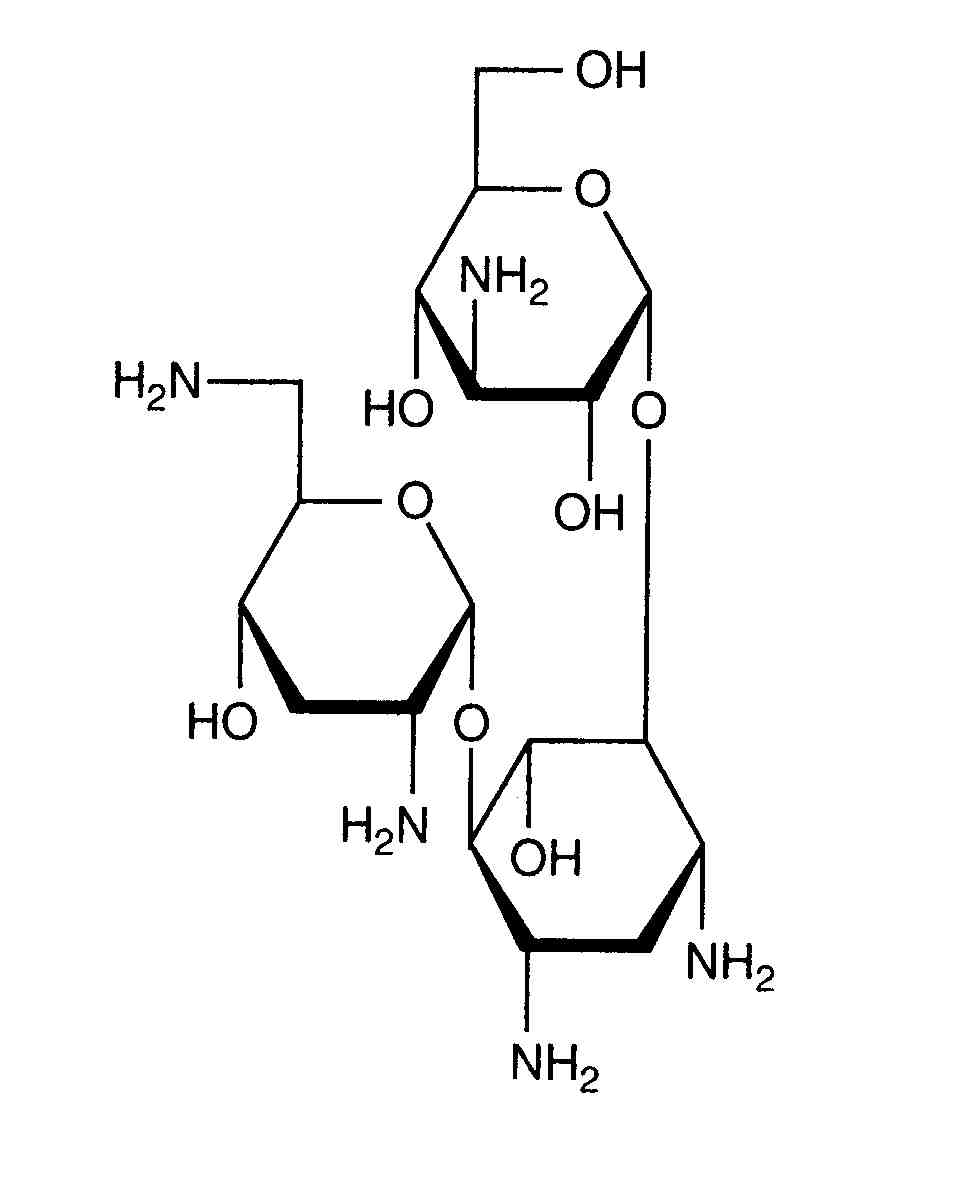
   Химическая структура  

Глазные капли
Совместимость   Глазные капли   Совместимость : Tobramycin sulfate               
данных нет

  Mentions Légales