Siste oppdatering :
27/01/2026
Antibiotika   Tobramycin sulfate   
Øyedråper
Aerosol Injeksjon Mikstur
Stabilitet av farmasøytiske preparater Stabilitet i blandinger Faktorer som påvirker stabiliteten Kompatibilitet Referanser pdf
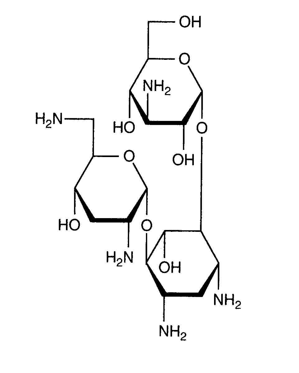
   Kjemisk struktur  

Øyedråper
Kompatibilitet   Øyedråper   Kompatibilitet : Tobramycin sulfate               
Ingen opplysninger

  Mentions Légales