Cập nhật lần cuối :
27/04/2026
Thuốc chống nấm   Nystatin  
Thuốc súc miệng
Tính ổn định của các chế phẩm Độ ổn định khi trộn lẫn Những yếu tố ảnh hưởng đến độ ổn định Khả năng tương thích Tài liệu tham khảo Pdf
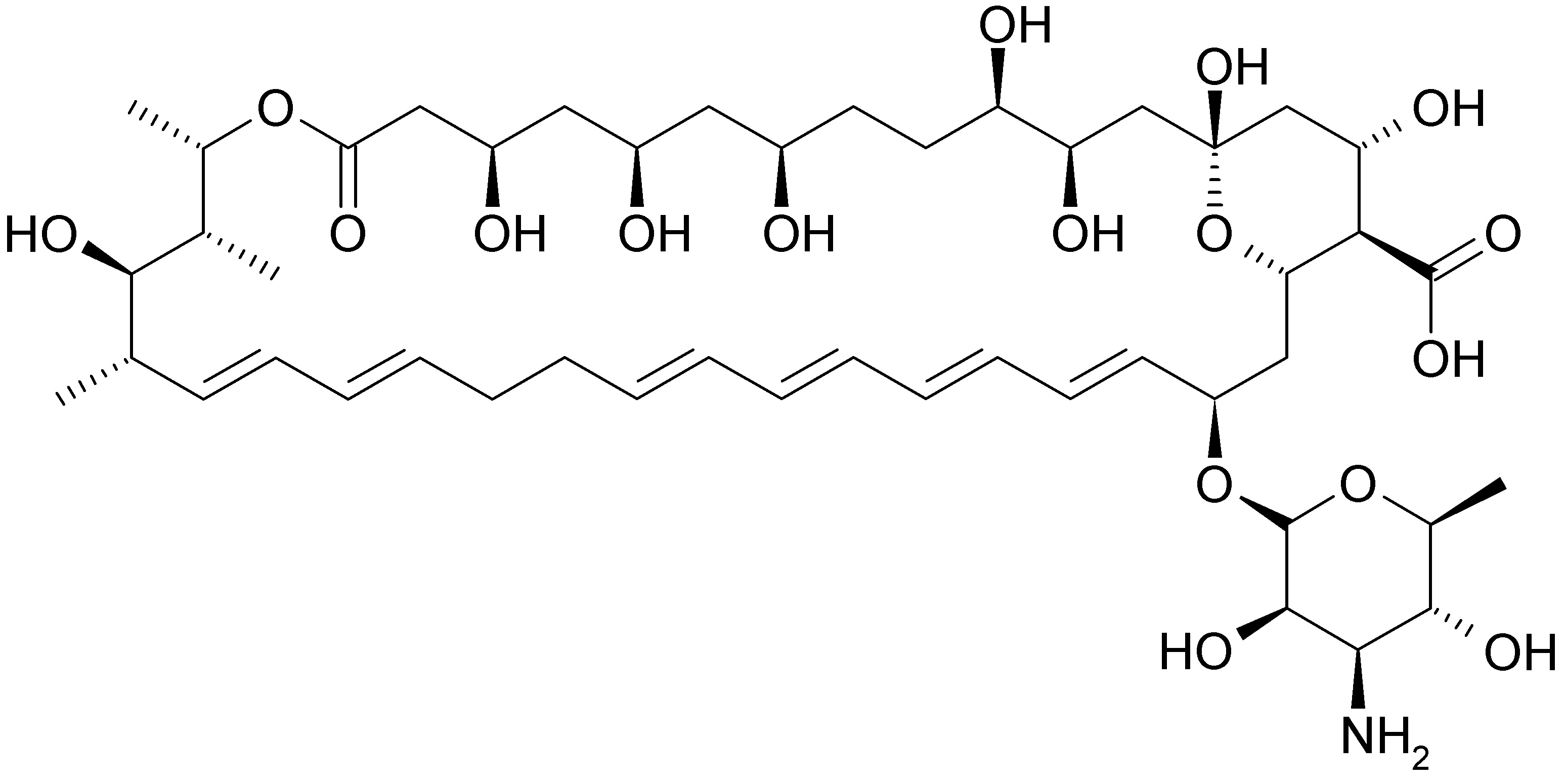
   Cấu trúc hóa học  

Thuốc súc miệng
Độ ổn định khi trộn lẫn   Thuốc súc miệng   Độ ổn định khi trộn lẫn : Nystatin     
Không có dữ liệu

  Mentions Légales