Ostatnia aktualizacja :
27/04/2026
Lek przeciwgrzybiczny   Nystatin  
Roztwór do płukania gardła
Stabilność preparatów farmaceutycznych Trwałość w mieszaninie Czynnik wpływający na trwałość Zgodność Bibliografia pdf
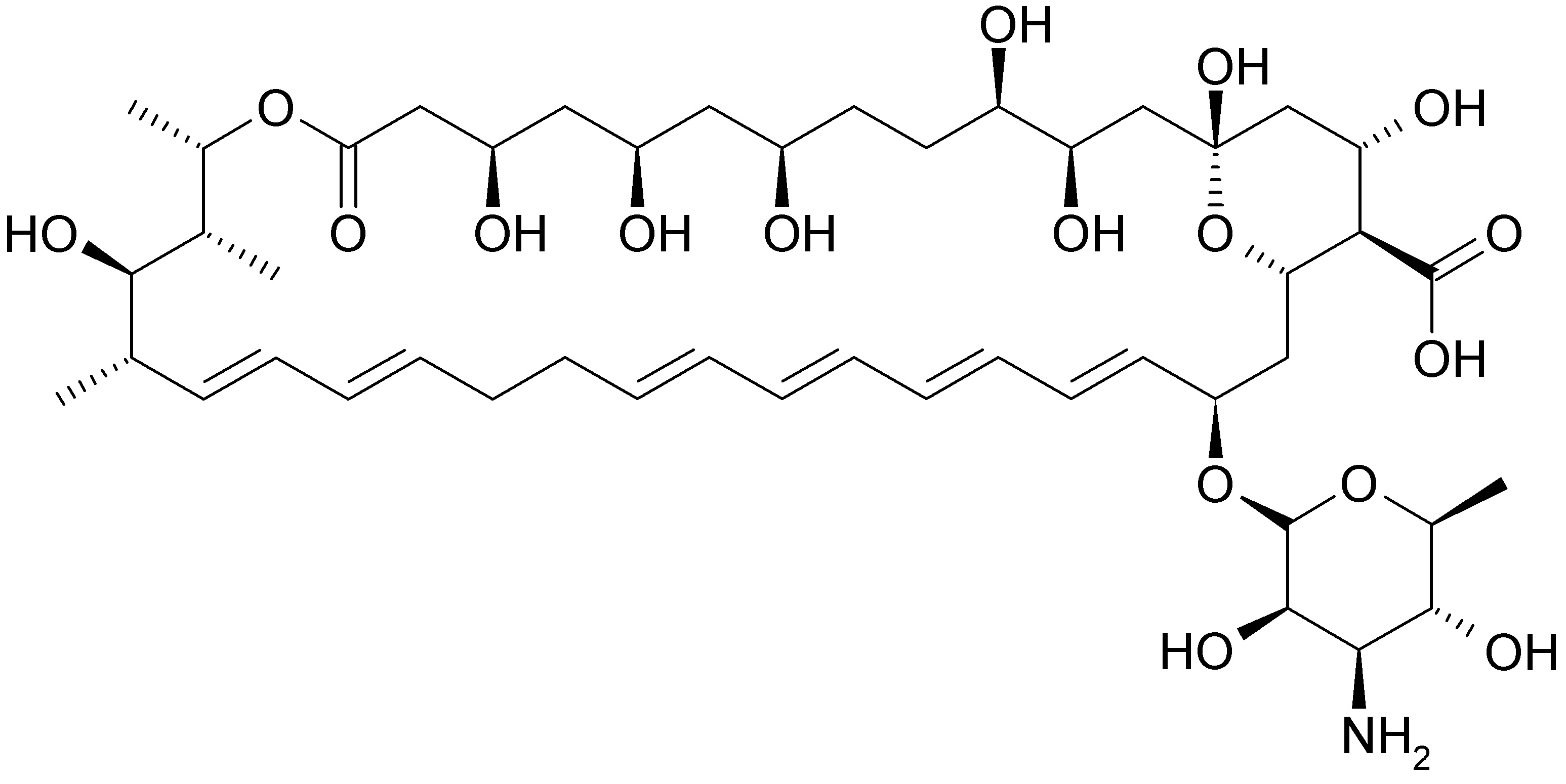
   Struktura chemiczna  

Roztwór do płukania gardła
Trwałość w mieszaninie   Roztwór do płukania gardła   Trwałość w mieszaninie : Nystatin     
Brak danych

  Mentions Légales