Utolsó frissítés :
27/04/2026
Gombaellenes szer   Nystatin  
Szájvíz
Stabilitása gyógyszerészeti készítmények A keverékek stabilitása Stabilitást befolyásoló tényezők Kompatibilitás Irodalom pdf
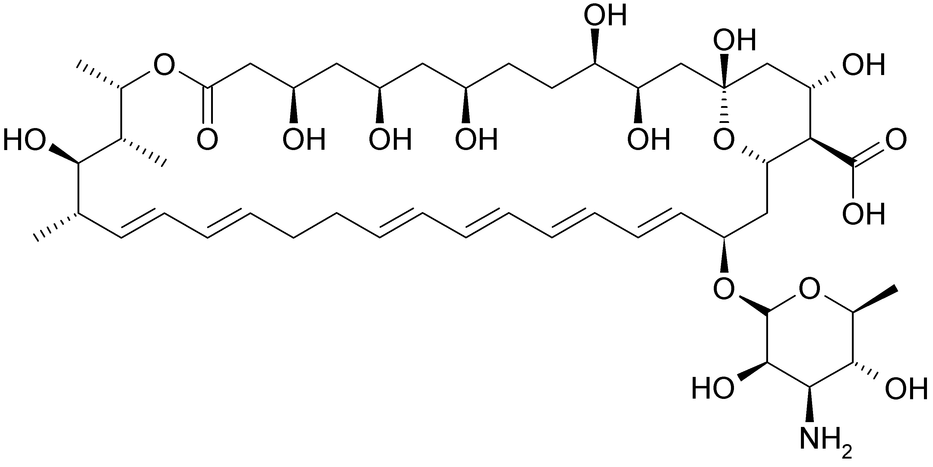
   Kémiai szerkezet   

Szájvíz
A keverékek stabilitása   Szájvíz   A keverékek stabilitása : Nystatin     
Hiányzó adat

  Mentions Légales