Seneste opdatering :
27/04/2026
Antisvampe   Nystatin  
Mundskyllevæske
Stabilitet af farmaceutiske tilberedninger Stabilitet i blandinger Faktorer der påvirker stabiliteten Kompatibilitet Bibliografi pdf
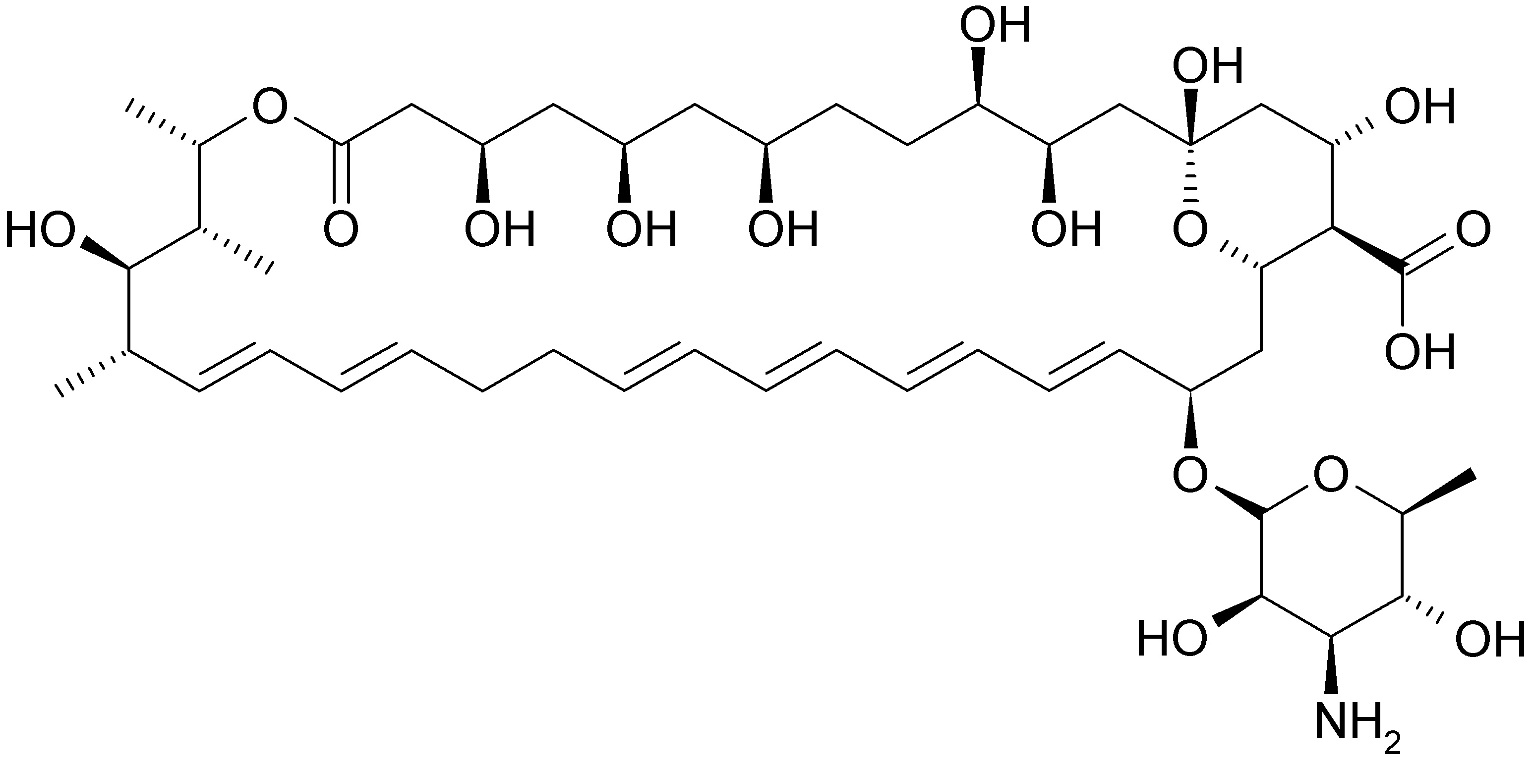
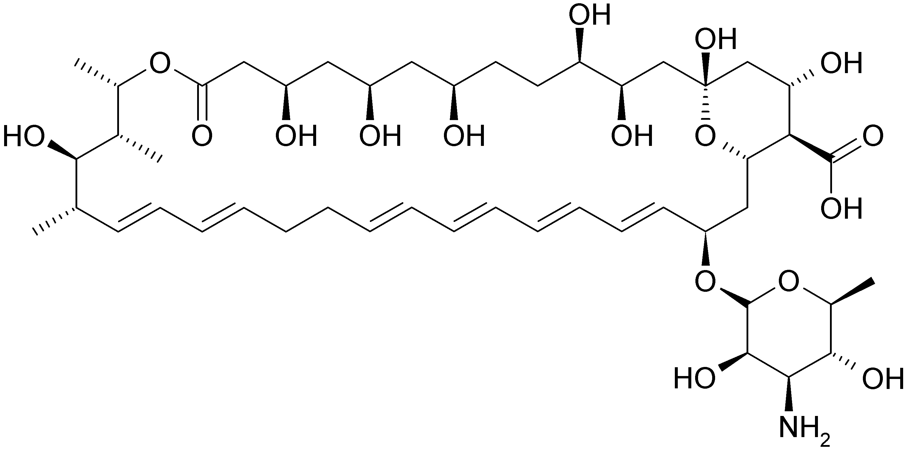
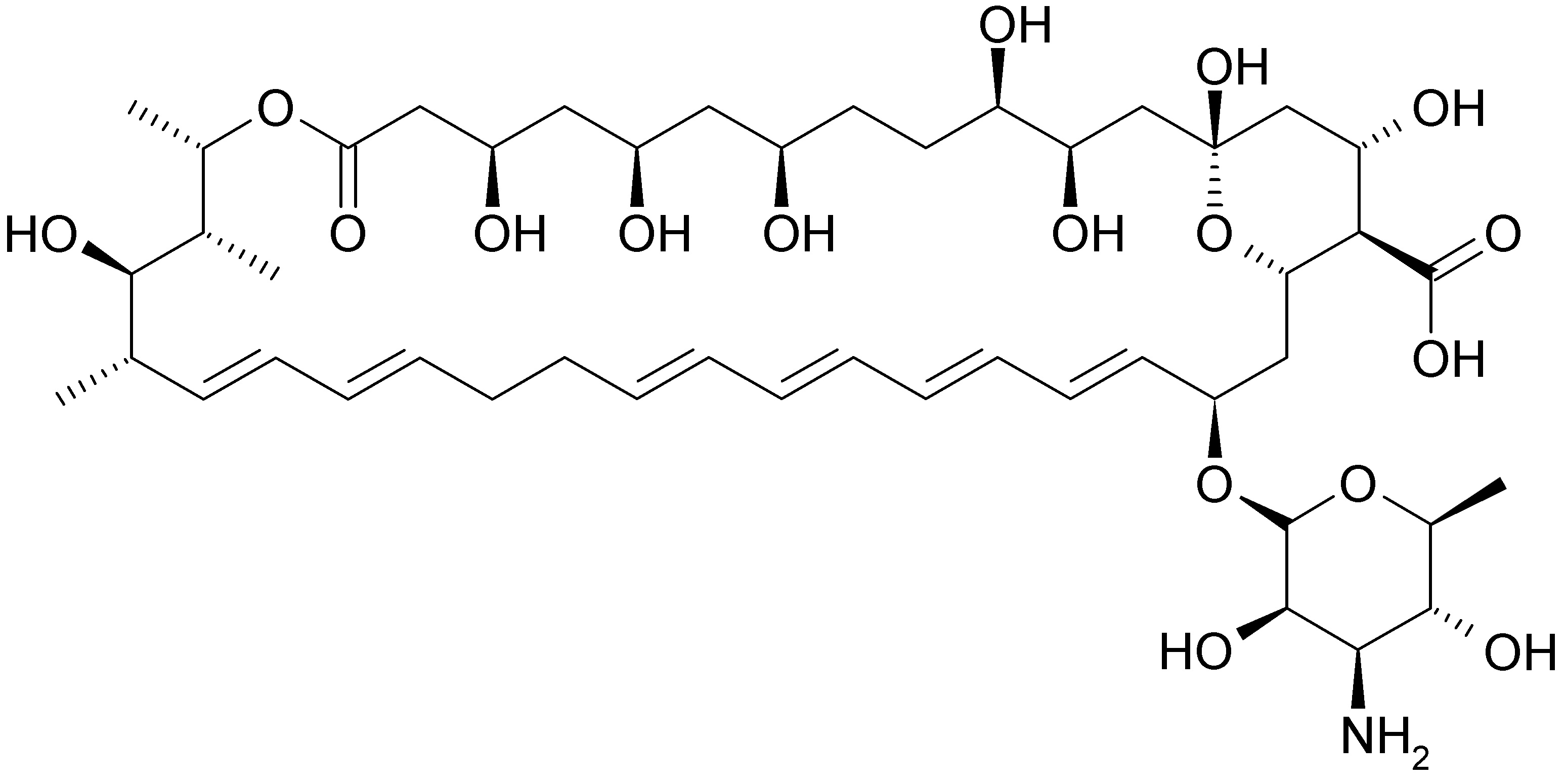
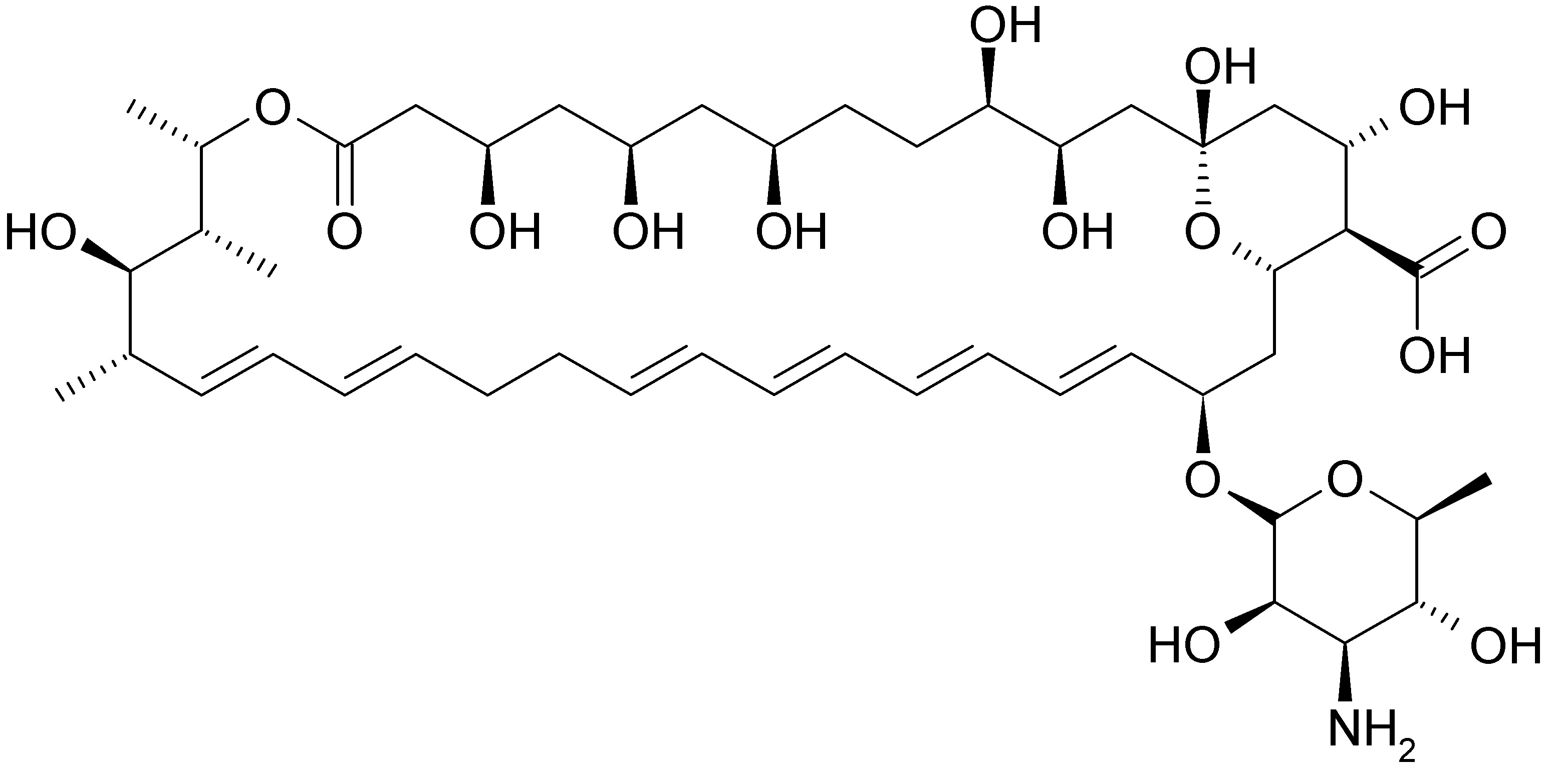
   Kemisk struktur  

Mundskyllevæske
Stabilitet i blandinger   Mundskyllevæske   Stabilitet i blandinger : Nystatin     
Ingen data

  Mentions Légales