Ultimo aggiornamento :
27/04/2026
Antimicotico   Nystatin  
Collutorio
Stabilità dei preparati farmaceutici Stabilità in miscela Fattori che influenzano la stabilità Compatibilità Bibliografia pdf
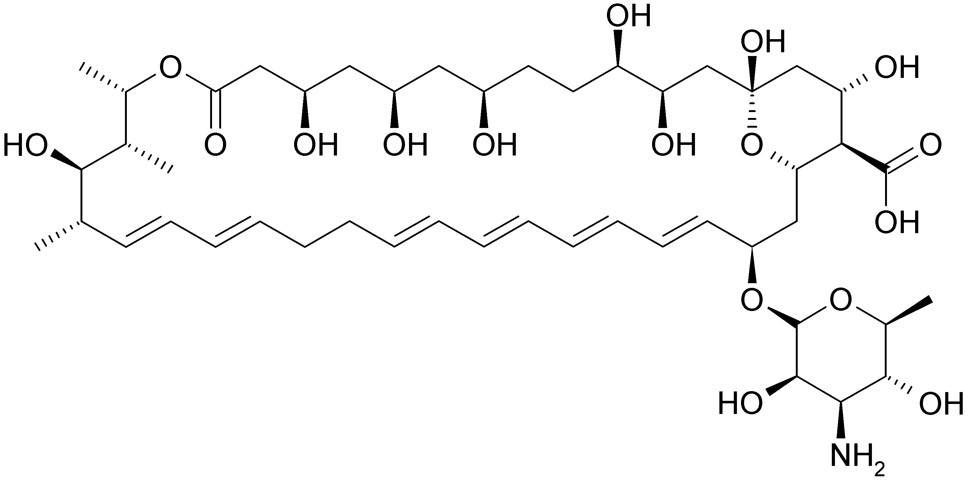
   Struttura chimica  

Collutorio
Stabilità in miscela   Collutorio   Stabilità in miscela : Nystatin     
Assenza di dati

  Mentions Légales