Ultimele actualizari :
27/04/2026
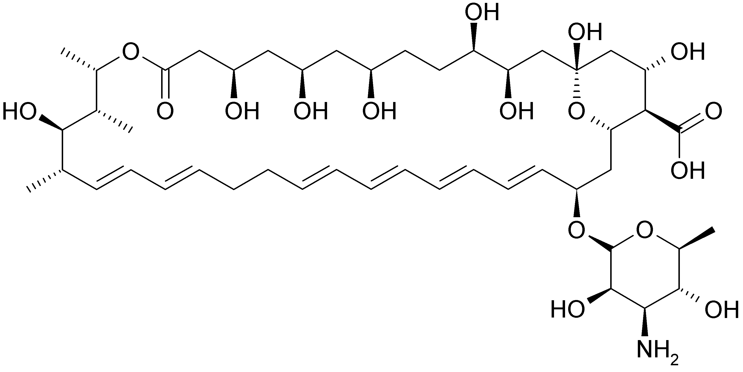
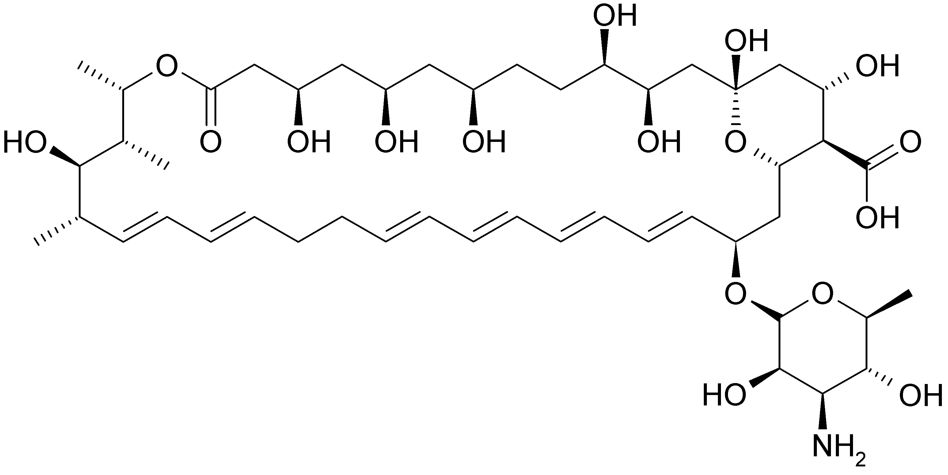
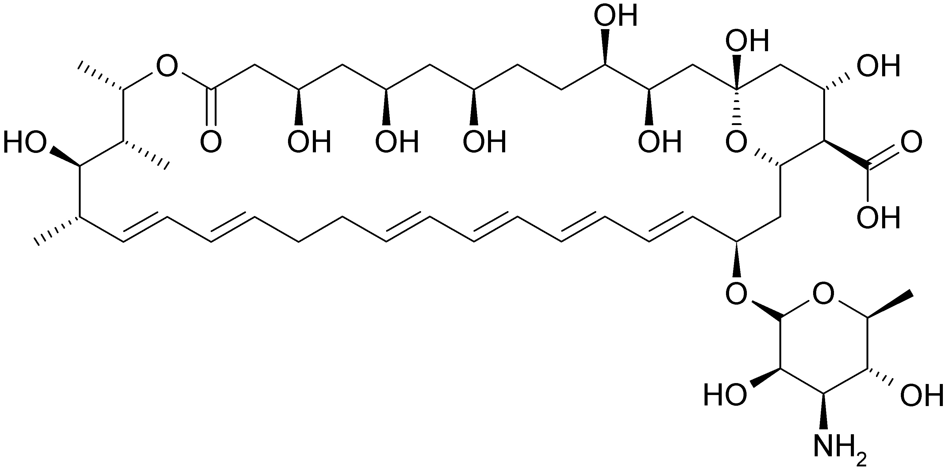
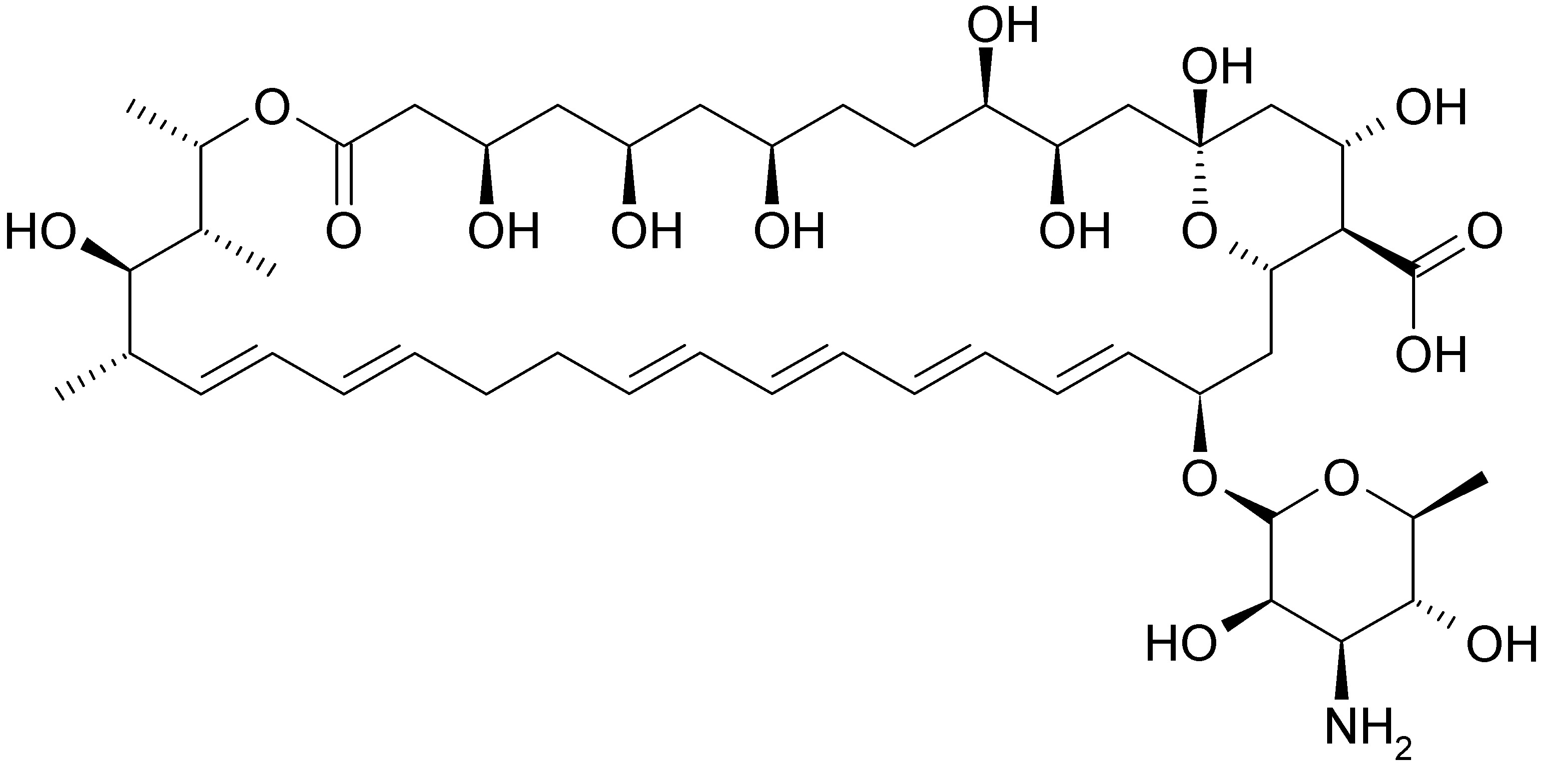
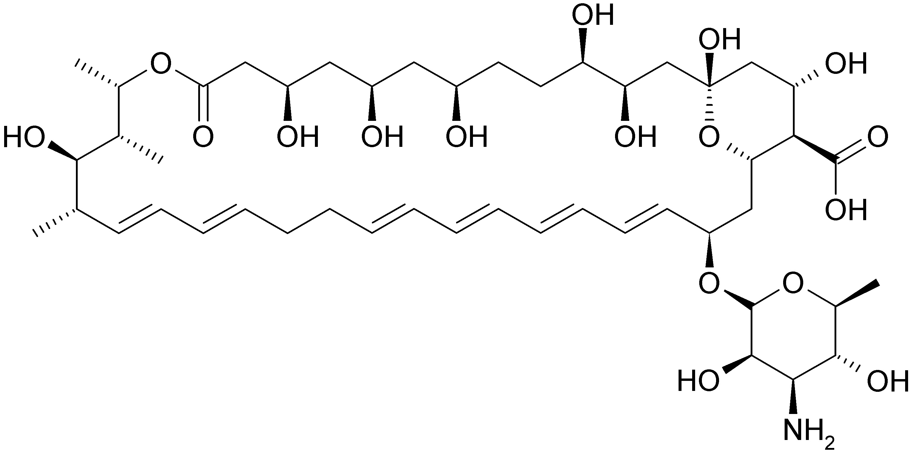
Antifungic   Nystatin  
Gargara
Stabilitatea preparatelor farmaceutice Stabilitatea in amestec Factorii care influenteaza stabilitatea Compatibilitate Bibliografie pdf
   Formula chimica  

Gargara
Stabilitatea in amestec   Gargara   Stabilitatea in amestec : Nystatin     
Absenta de date

  Mentions Légales