Последнее обновление :
27/04/2026
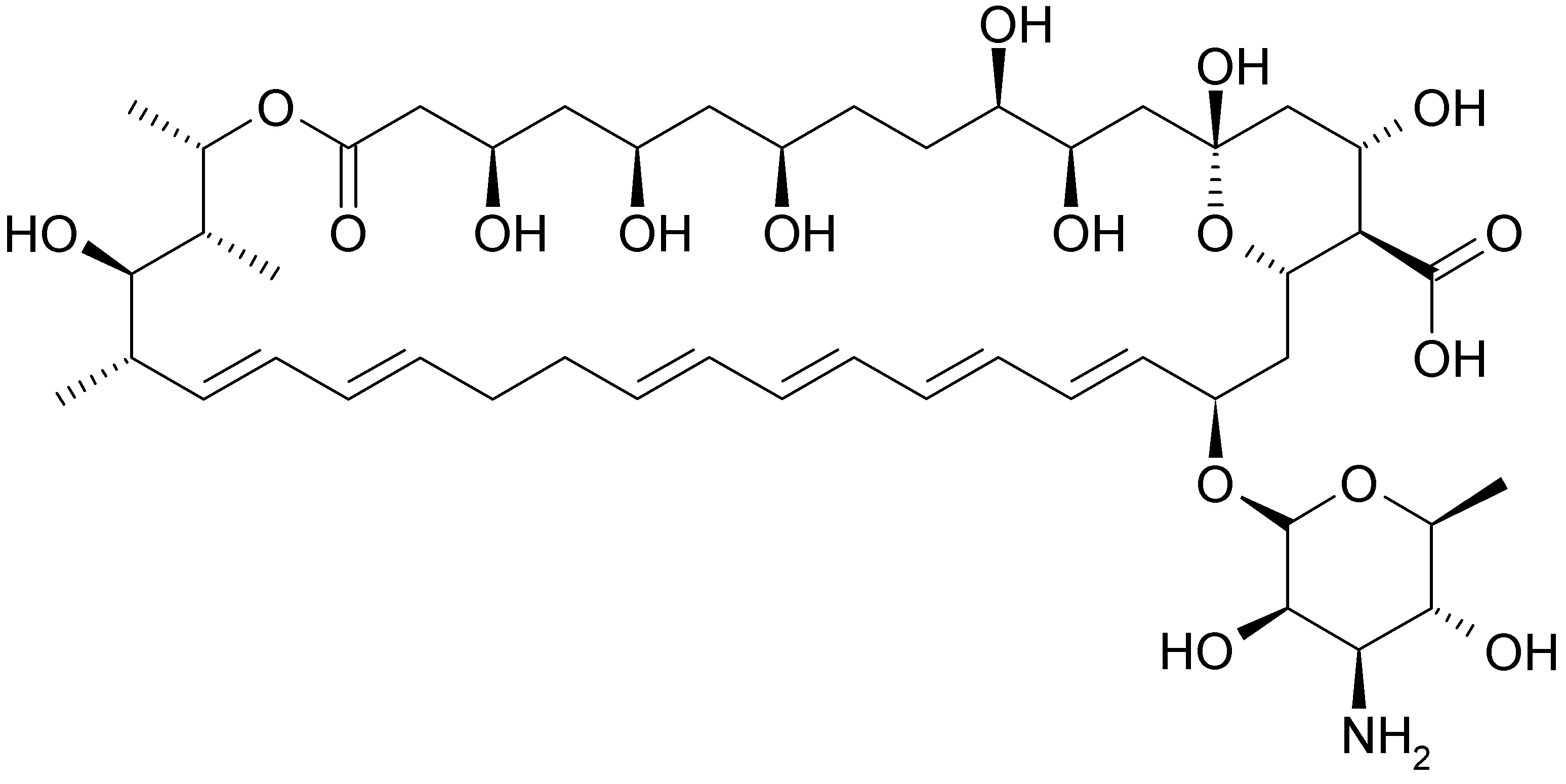
Противогрибковое средство   Nystatin  
Ополаскиватель для полости рта
Стабильность фармацевтических препаратов Стабильность смесей Факторы, которые влияют на стабильность Совместимость Библиография pdf
   Химическая структура  

Ополаскиватель для полости рта
Стабильность смесей   Ополаскиватель для полости рта   Стабильность смесей : Nystatin     
данных нет

  Mentions Légales