Zadnji put ažurirano :
27/04/2026
antifungicid   Nystatin  
otopina za ispiranje usne šupljine
Stabilnost farmaceutskih pripravaka Stabilnost mješavine Stabilizacijski faktor Kompatibilnosti Bibliografija pdf
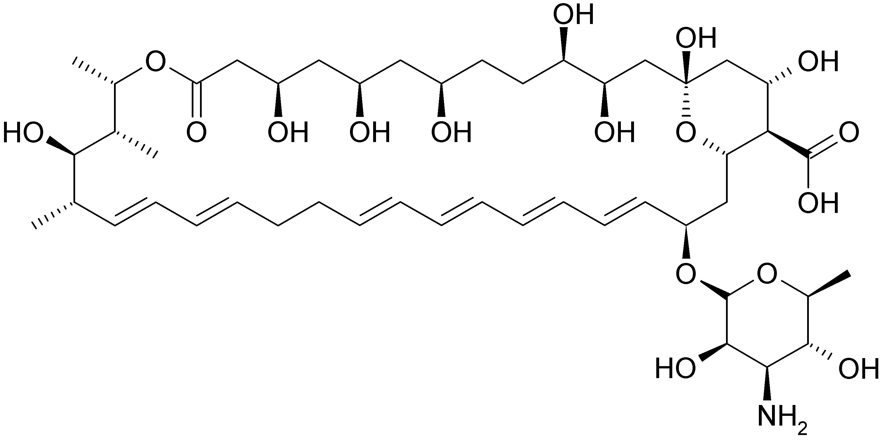
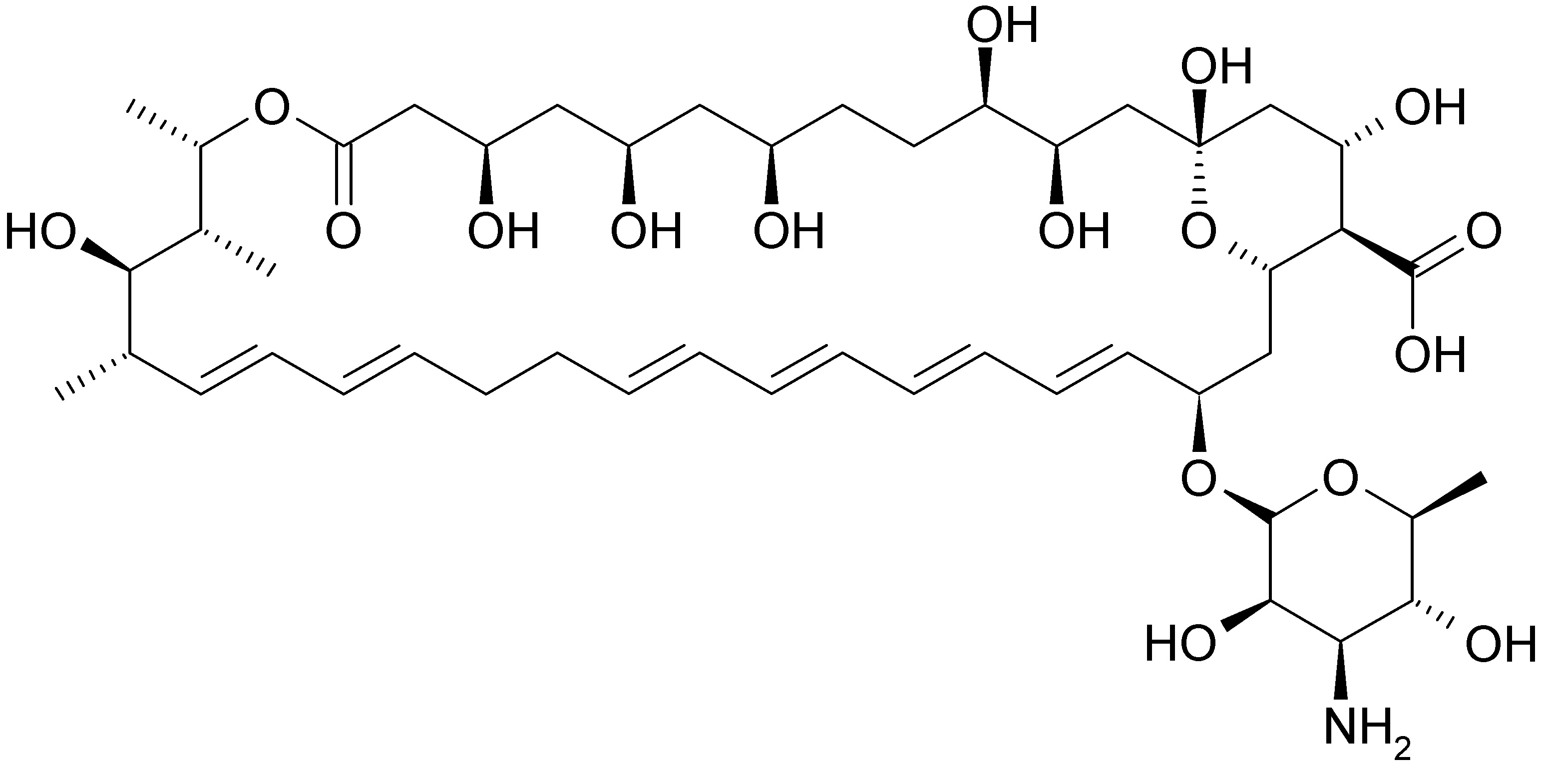
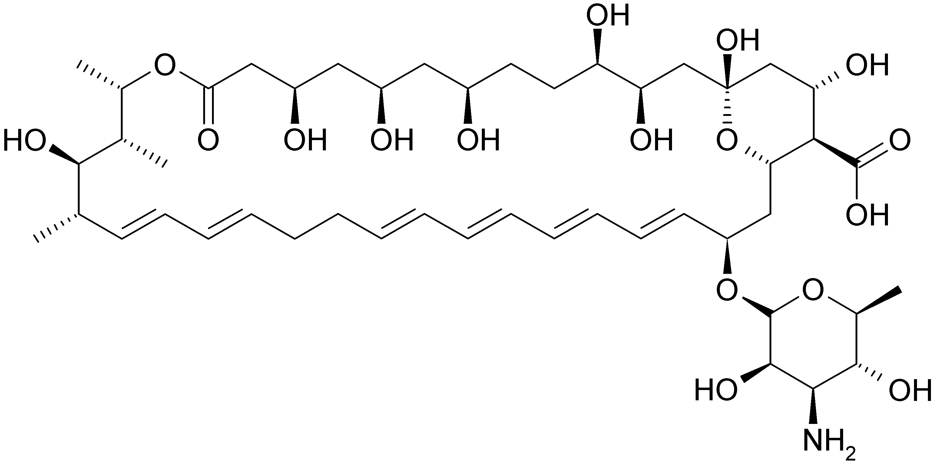
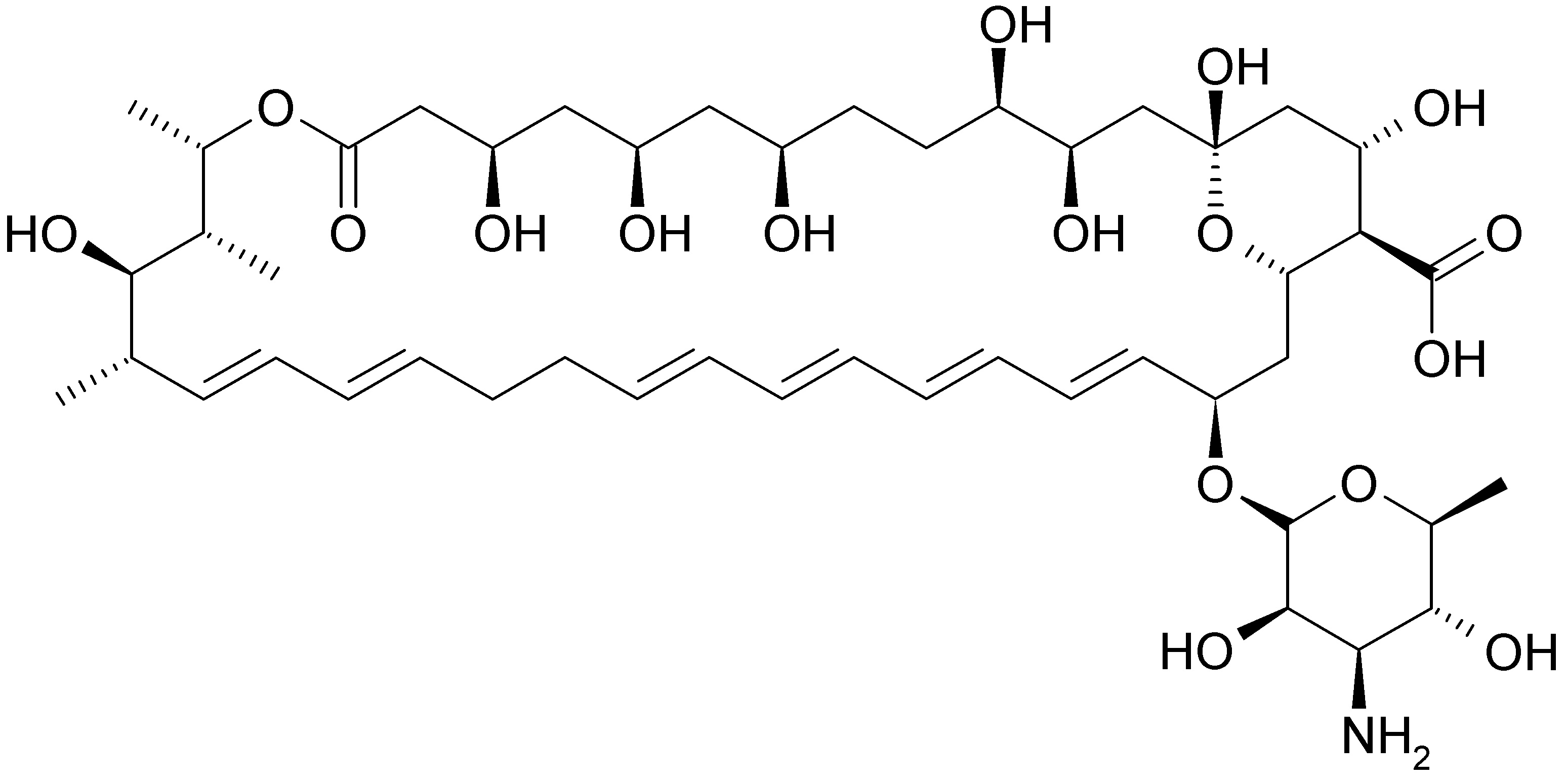
   Kemijska struktura  

otopina za ispiranje usne šupljine
Stabilnost mješavine   otopina za ispiranje usne šupljine   Stabilnost mješavine : Nystatin     
bez podataka

  Mentions Légales