Letztes “update” :
27/04/2026
Antifungoid   Nystatin  
Mundspüllösung
Stabilität von pharmazeutischen Präparaten Gemengestabilität Stabilitätbeeinflussende Faktoren Kompatibilitäten Literaturverzeichnis pdf
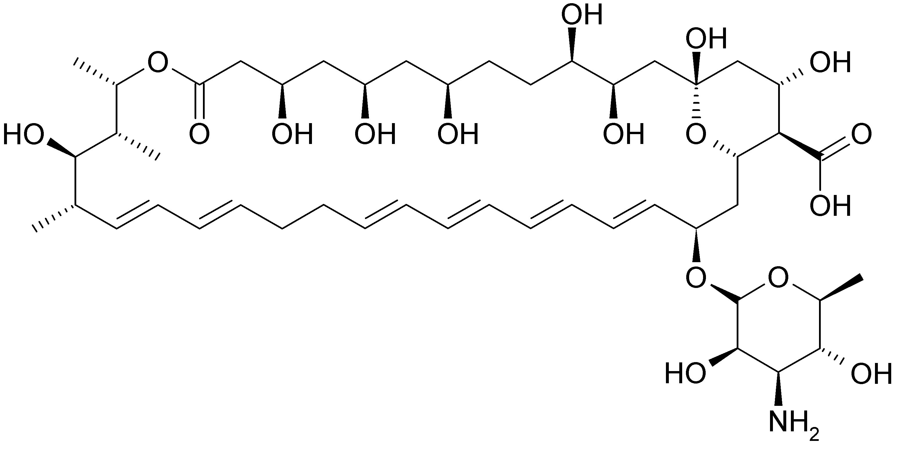
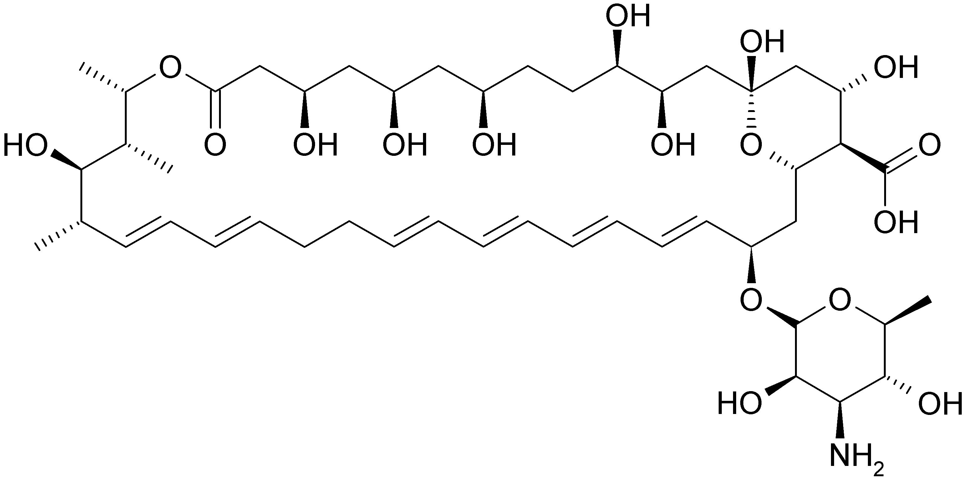
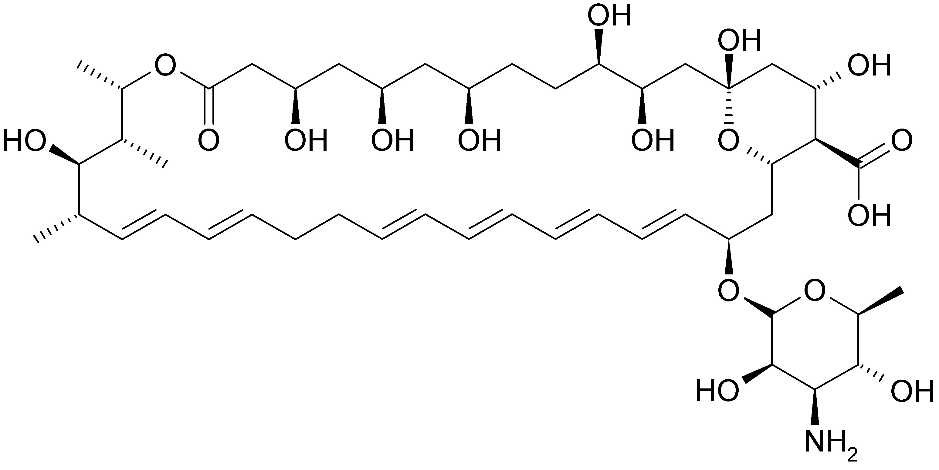
   Chemische Struktur  

Mundspüllösung
Gemengestabilität   Mundspüllösung   Gemengestabilität : Nystatin     
Keine Daten

  Mentions Légales