Poslední aktualizace :
27/04/2026
Protiplísňový přípravek   Nystatin  
kloktadlo
Stabilita farmaceutických přípravků Stabilita směsí Faktory ovlivňující stabilitu Kompatibilita Odkazy pdf
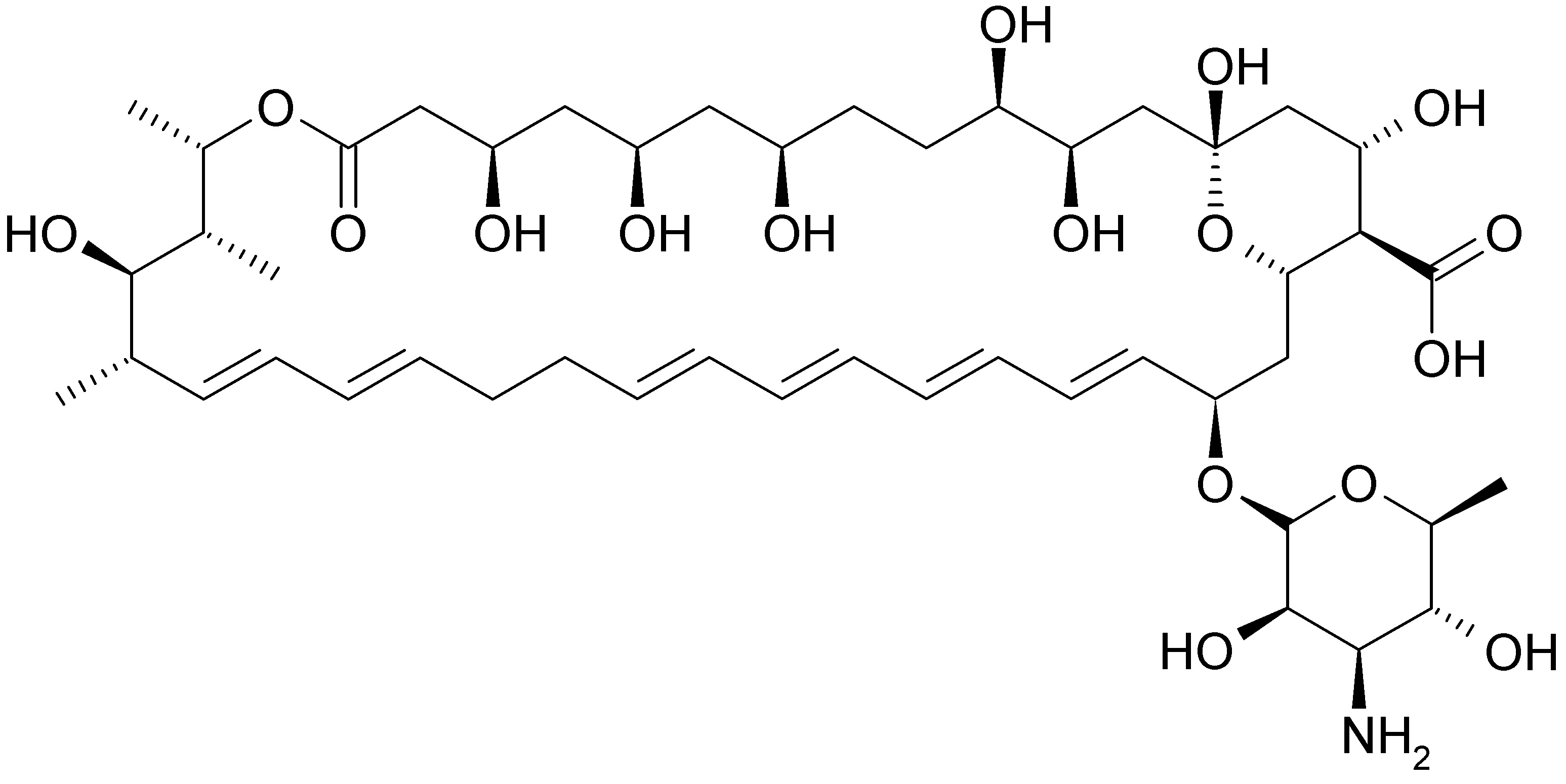
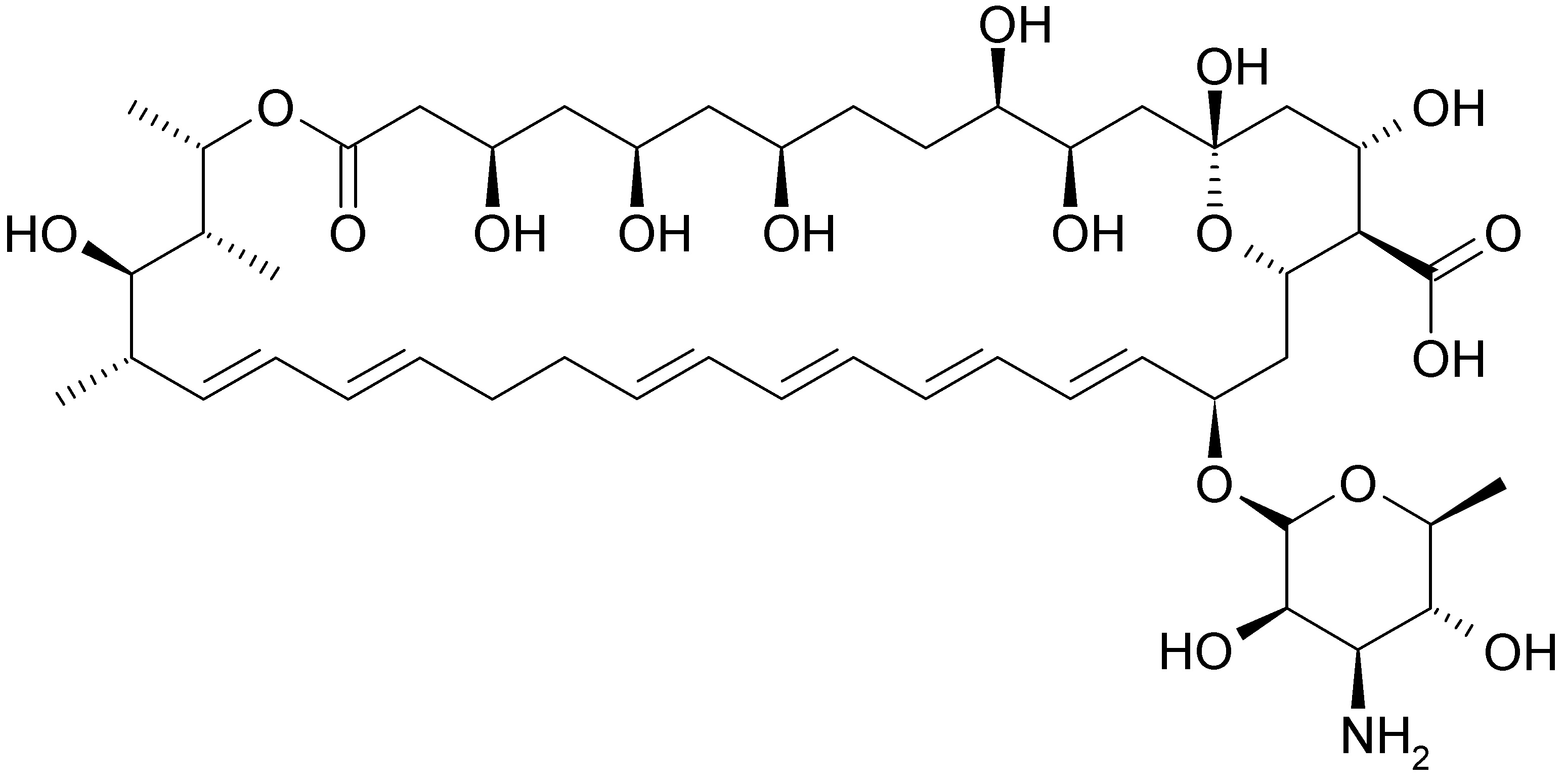
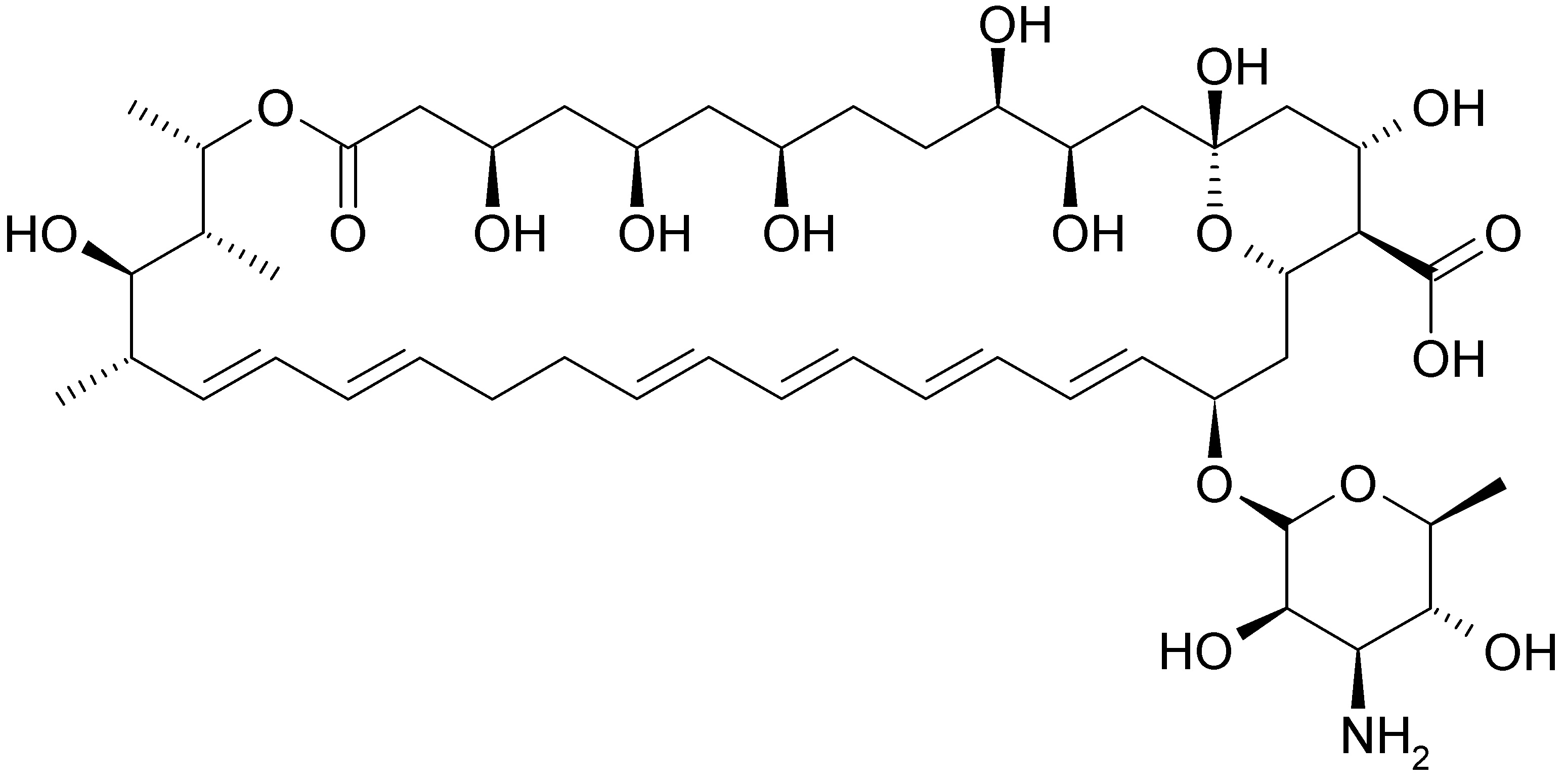
   Chemický vzorec  

kloktadlo
Stabilita směsí   kloktadlo   Stabilita směsí : Nystatin     
žádná data

  Mentions Légales