Τελευταία ενημέρωση :
27/04/2026
Αντιμυκητικό   Nystatin  
Στοματικό διάλυμα
Σταθερότητα και συμβατότητα των φαρμάκων Σταθερότητα σε μίγματα Παράγοντας που επηρεάζει τη σταθερότητα Συμβατότητες Βιβλιογραφία pdf
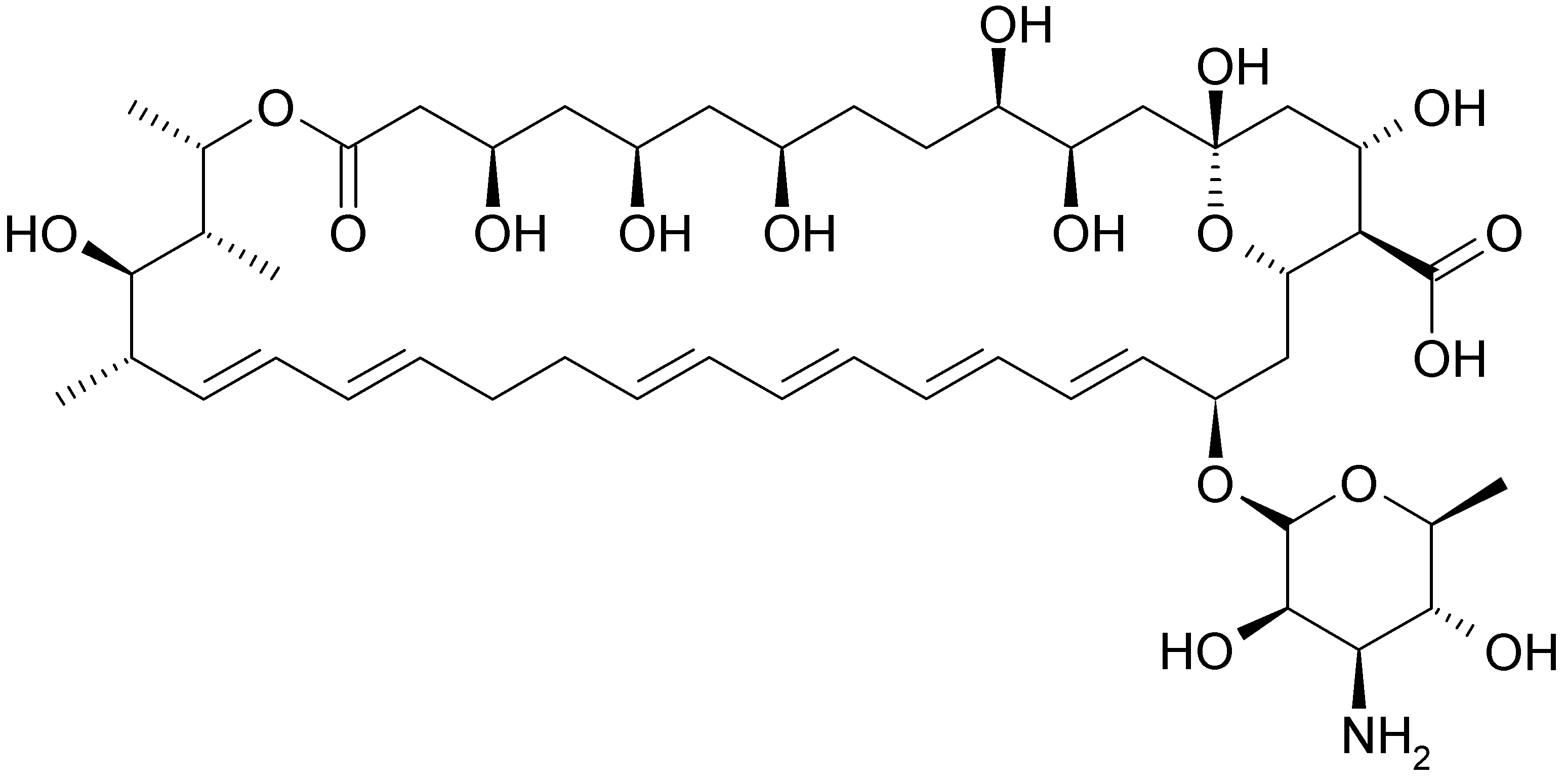
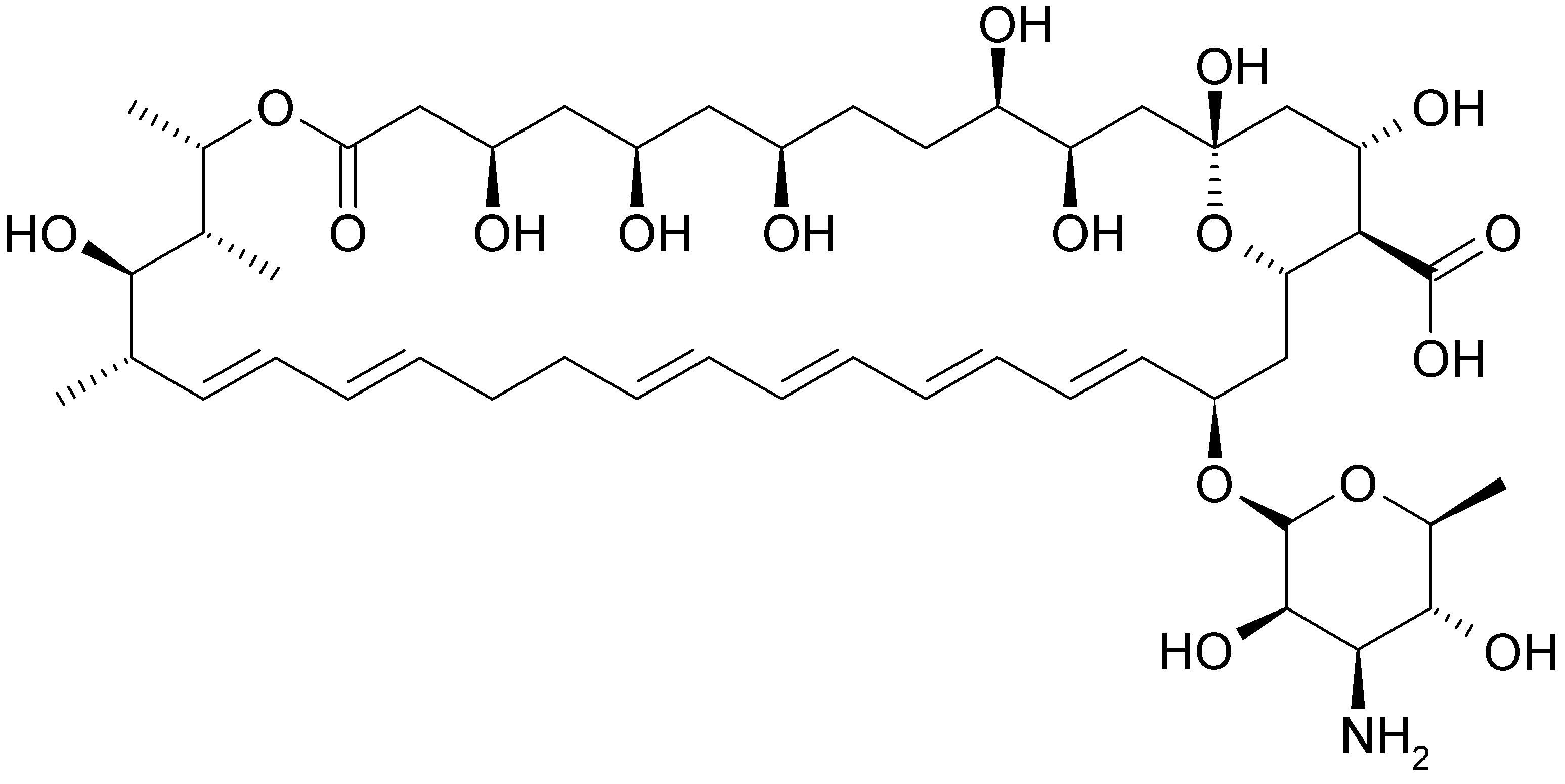
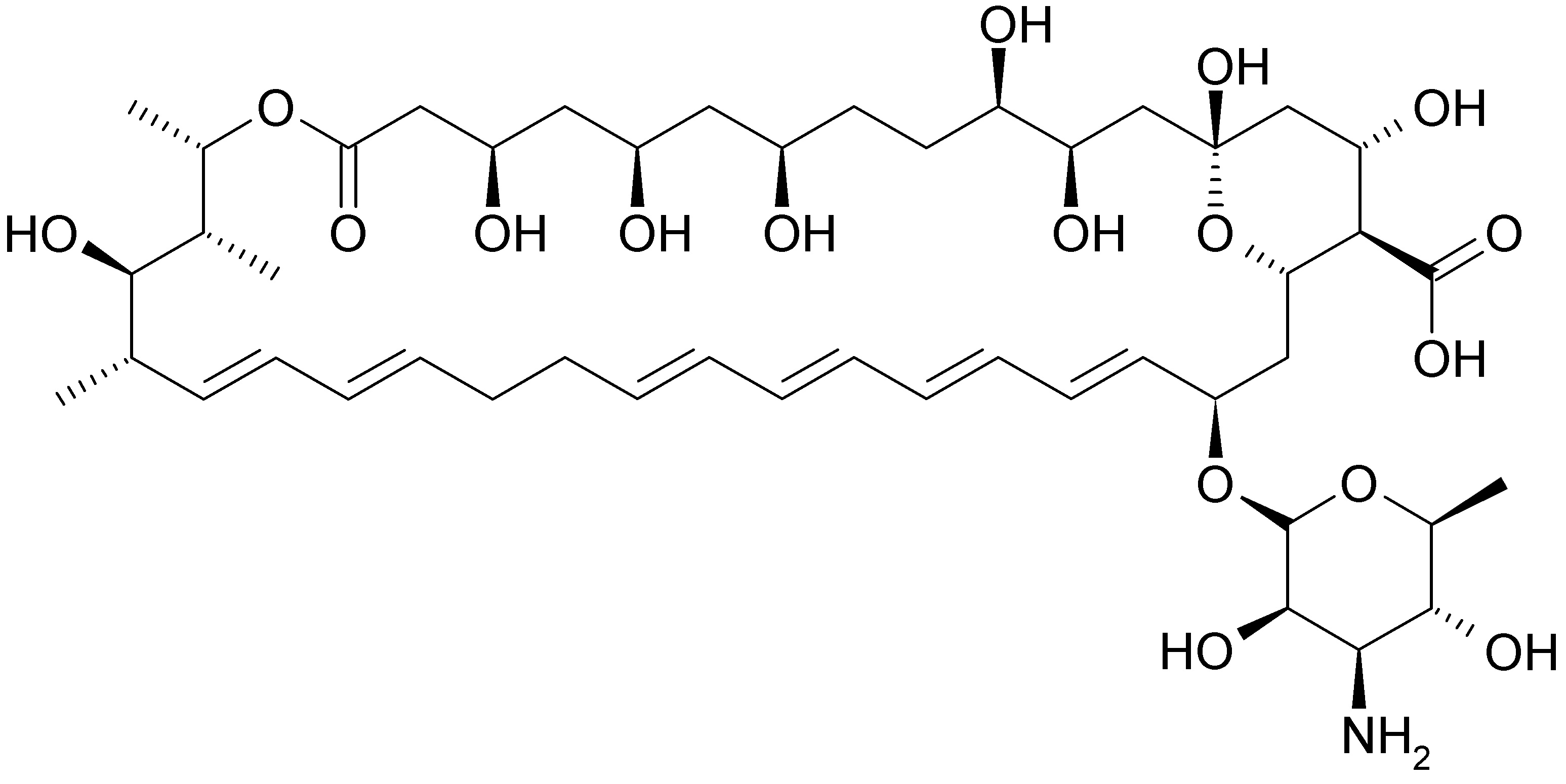
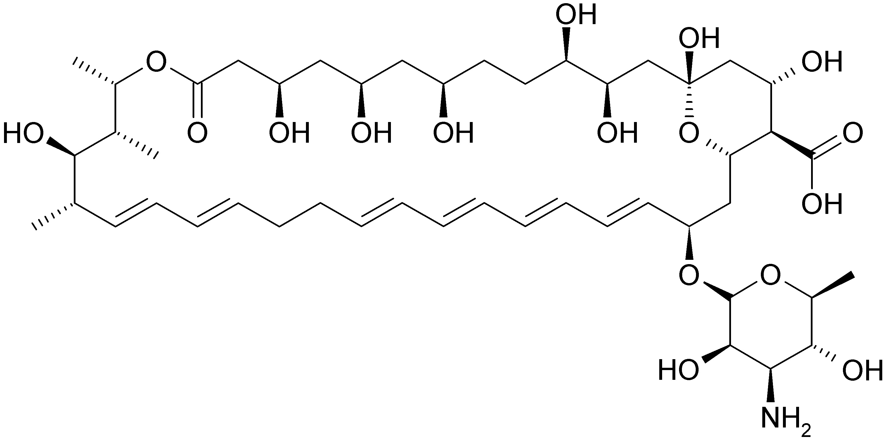
   χημική δομή  

Στοματικό διάλυμα
Σταθερότητα σε μίγματα   Στοματικό διάλυμα   Σταθερότητα σε μίγματα : Nystatin     
Δεν υπάρχουν πληροφορίες

  Mentions Légales