zadnja posodobitev :
27/04/2026
Antimikotik   Nystatin  
Ustna voda
Stabilnost farmacevtskih preparatov Stabilnost mešanice Faktorji, ki vplivajo na stabilnost Kompatibilnost Viri pdf
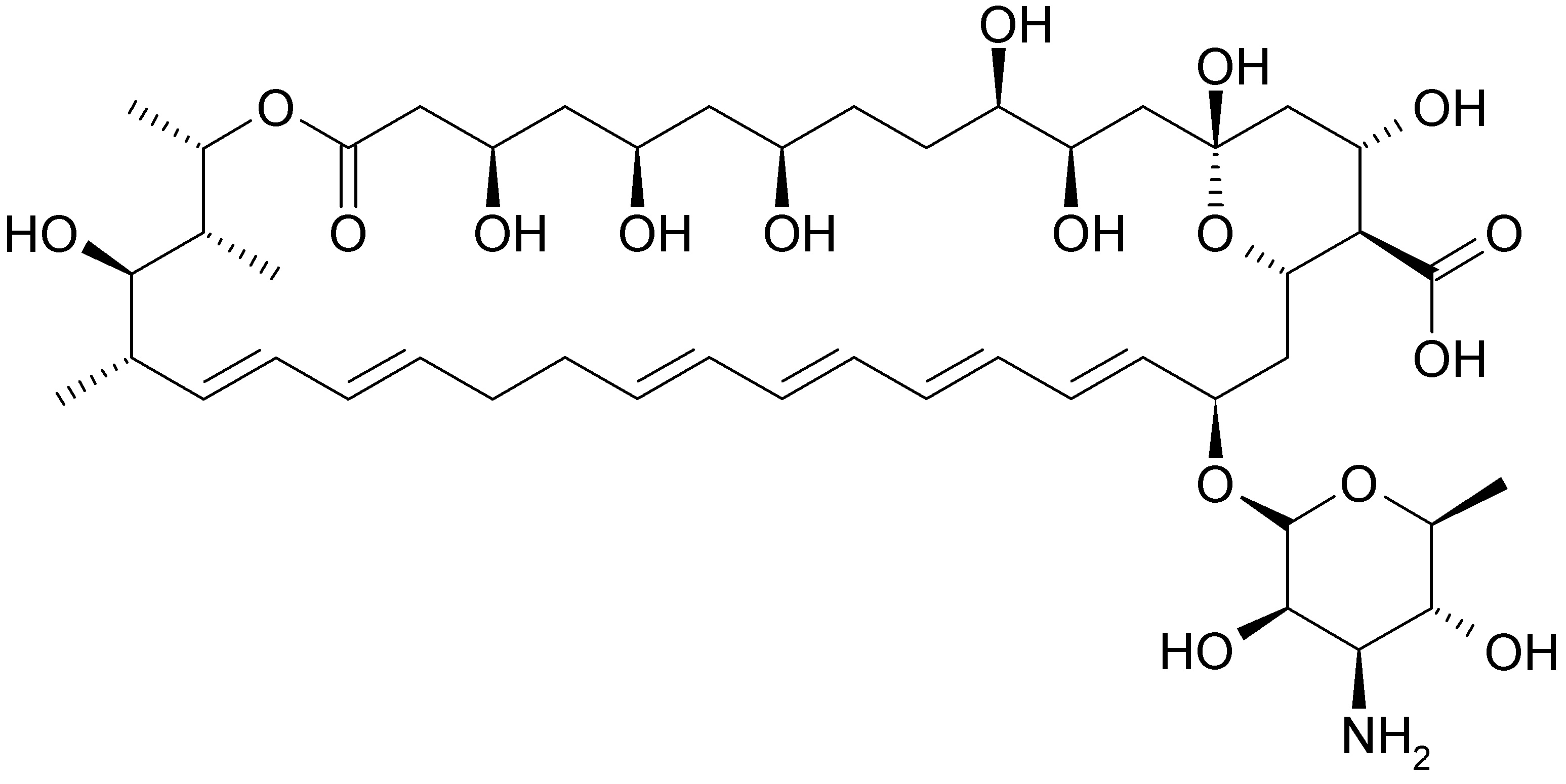
   Kemična formula  

Ustna voda
Stabilnost mešanice   Ustna voda   Stabilnost mešanice : Nystatin     
ni podatka

  Mentions Légales