Последно актуализиране :
27/04/2026
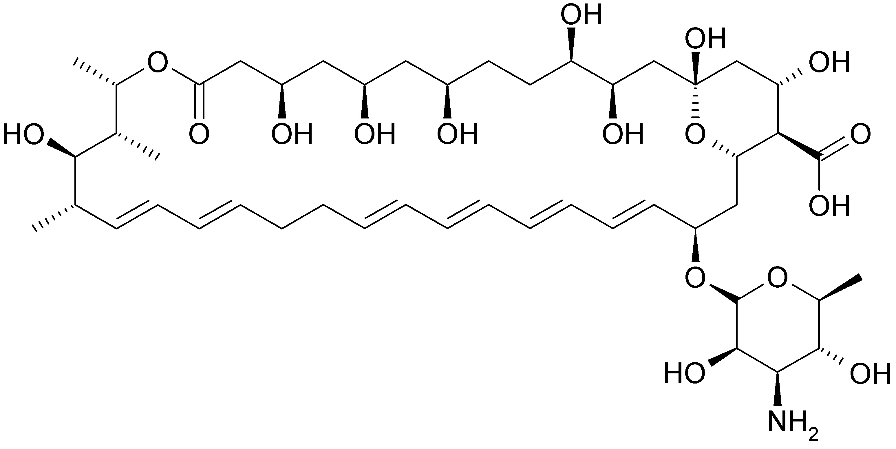
Противогъбично средство   Nystatin  
Разтвор за уста
Стабилност на лекарствени препарати Стабилност на смеси Фактори, повлияващи стабилността Съвместимост Библиография Pdf
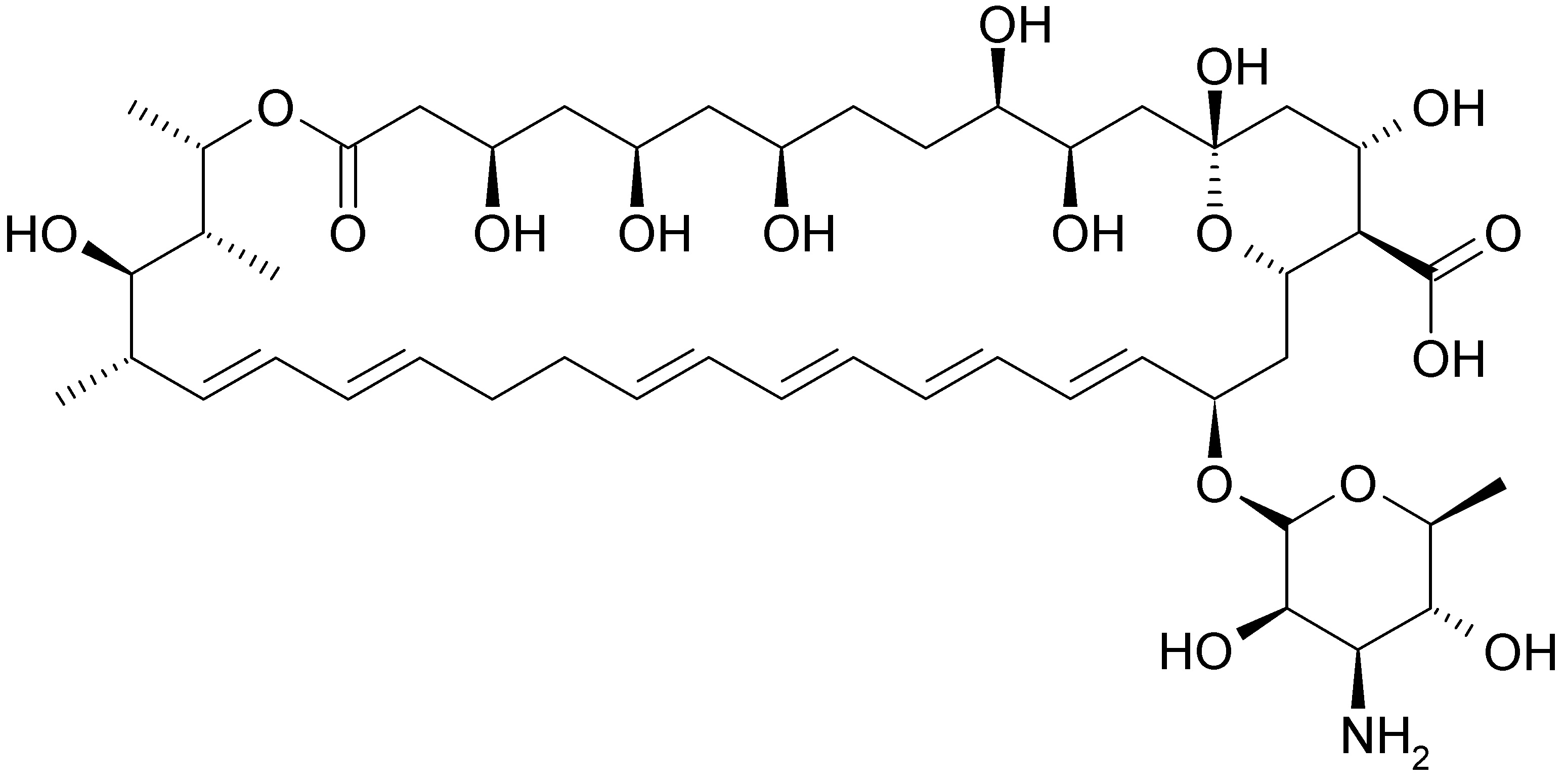
   Химична структура  

Разтвор за уста
Стабилност на смеси   Разтвор за уста   Стабилност на смеси : Nystatin     
Няма данни

  Mentions Légales