Son güncelleme :
27/04/2026
Antifungal   Nystatin  
Gargara
Farmasötik preparatlar Kararlılığı Karışımlardaki stabilitesi Stabiliteyi etkileyen faktörler Uyumluluk Kaynaklar pdf
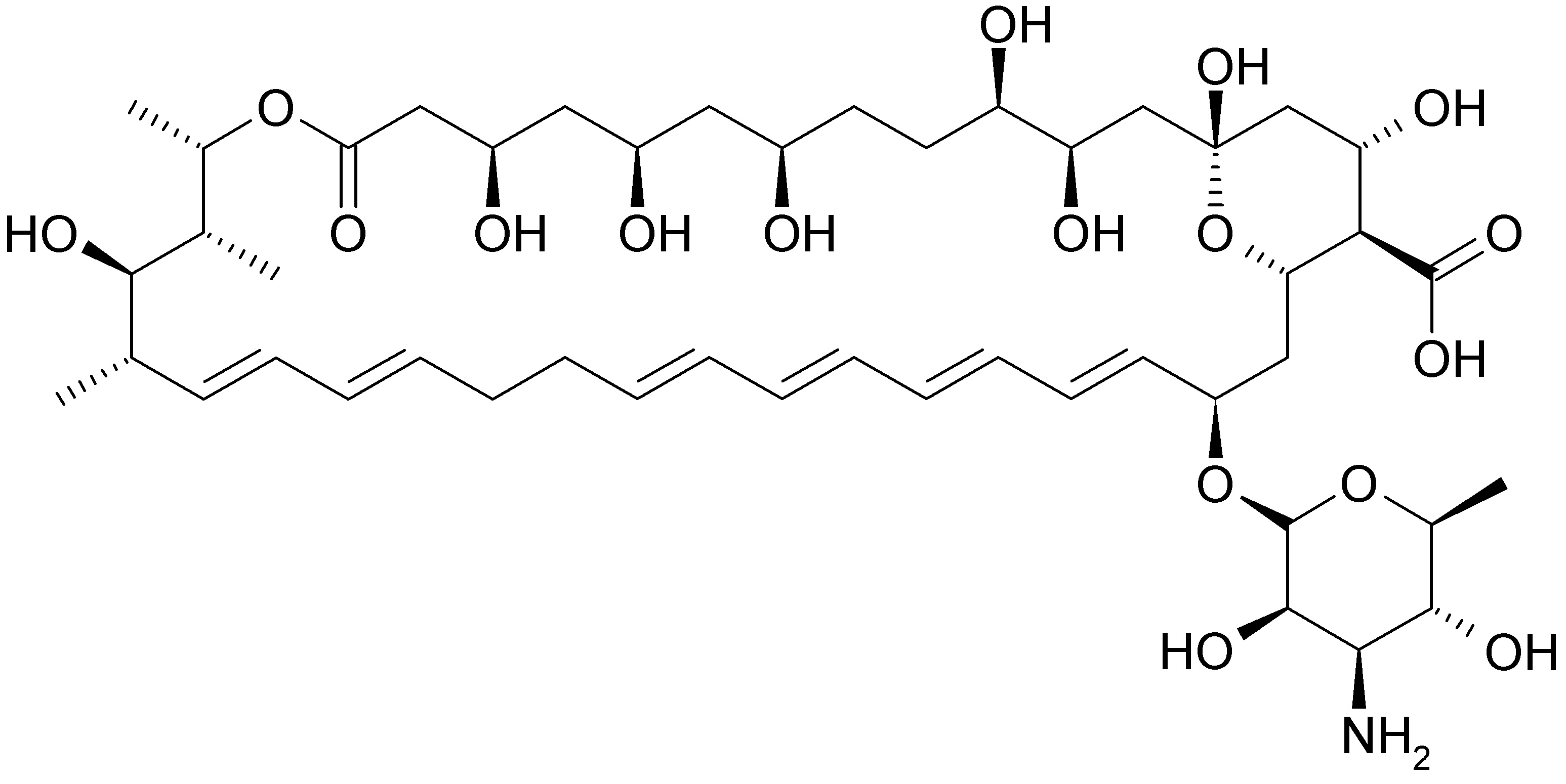
   Kimyasal yapı   

Gargara
Uyumluluk   Gargara   Uyumluluk : Nystatin              
veri yok

  Mentions Légales