最新更新 :
27/04/2026
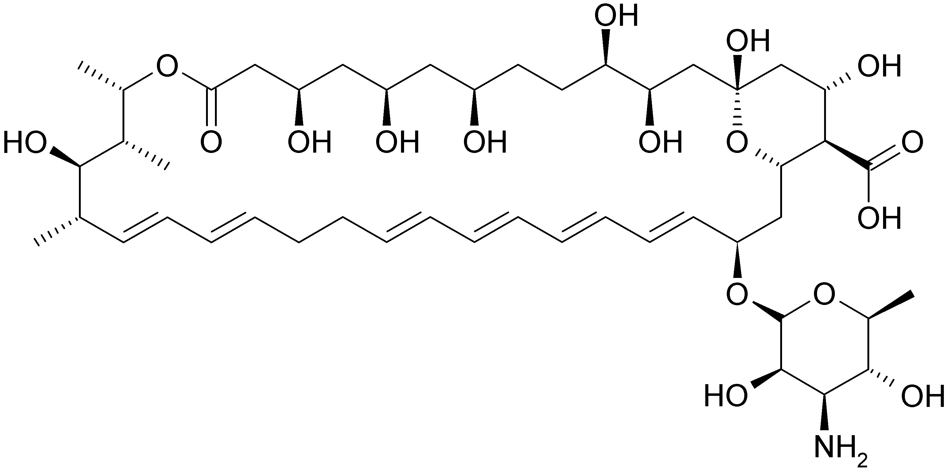
抗真菌药   Nystatin  
漱口水
制剂的稳定性 混合物稳定性 影响稳定性的因素 兼容性 引用文献 PDF
   化学式  

漱口水
兼容性   漱口水   兼容性 : Nystatin              
无数据

  Mentions Légales