آخر تحديث :
27/04/2026
مضاد للفطريات   Nystatin  
غسول الفم
استقرار المستحضرات الصيدلانية استقرار مخاليط العوامل التي تؤثر على الاستقرار التوافق مراجع pdf
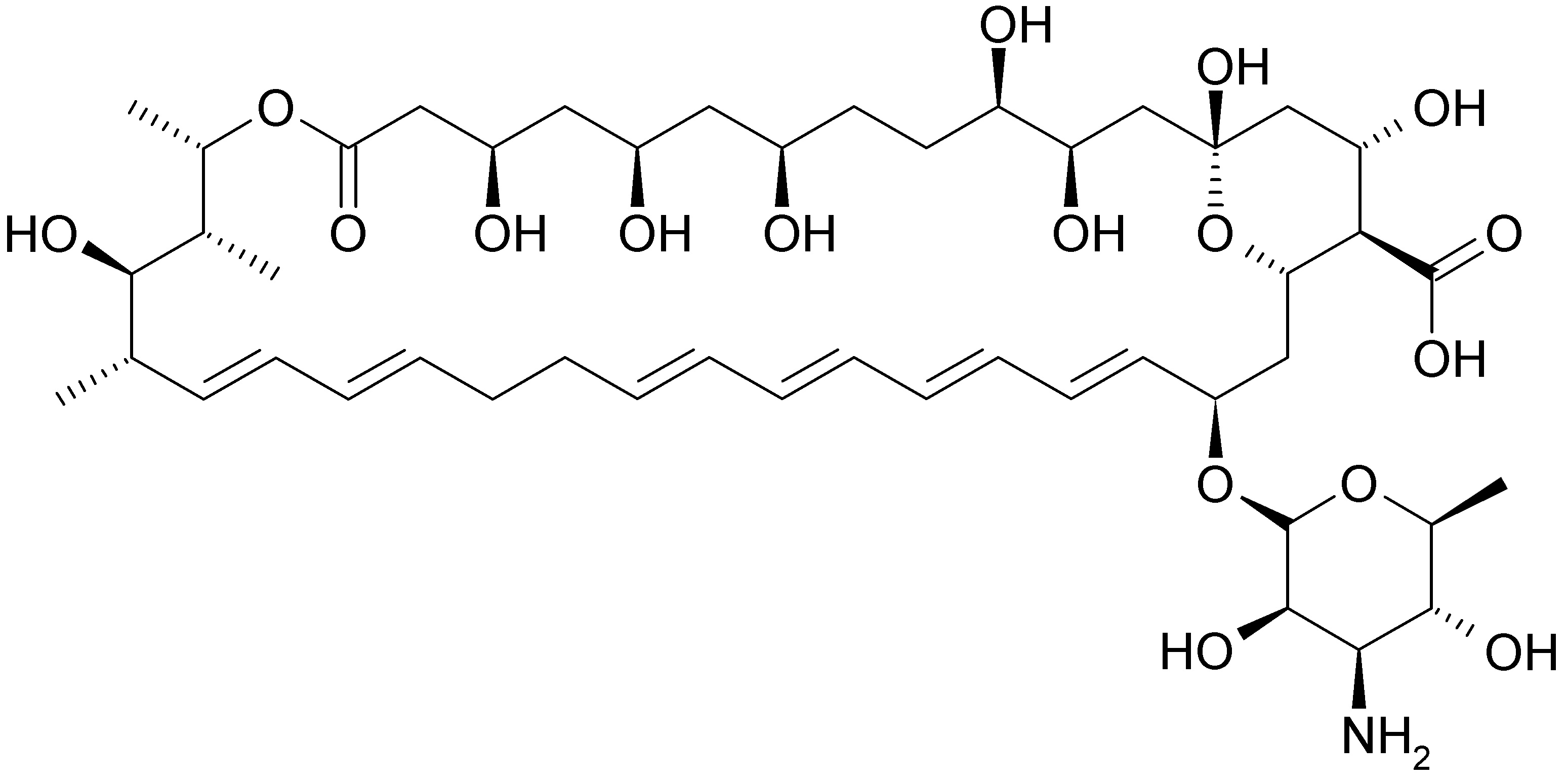
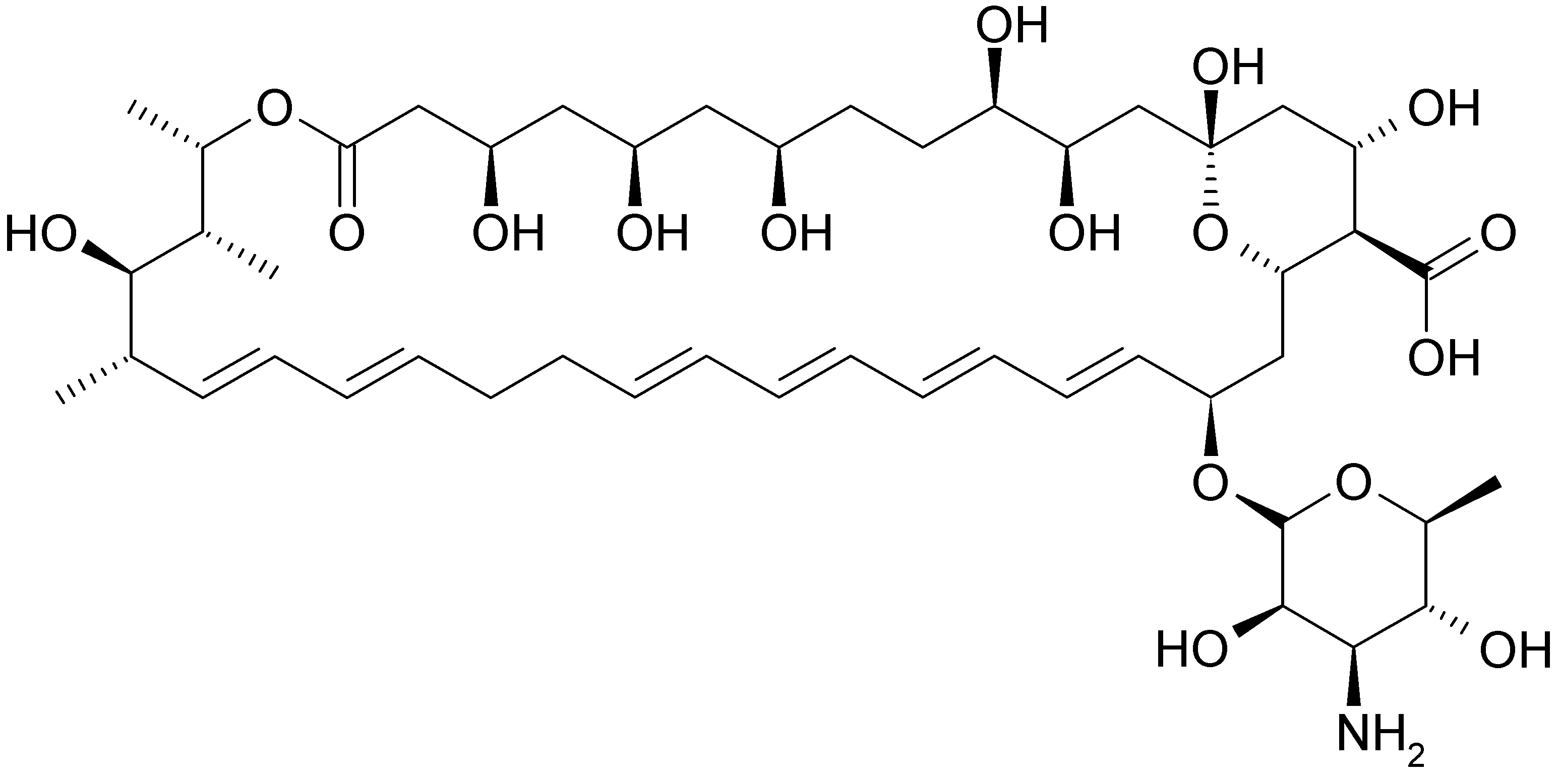
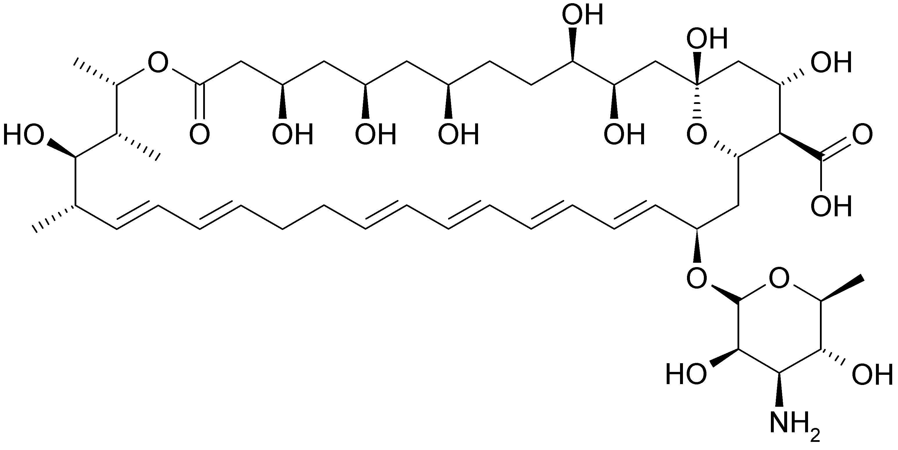
   التركيب الكيميائي  

غسول الفم
التوافق   غسول الفم   التوافق : Nystatin              
لا توجد بيانات

  Mentions Légales