Τελευταία ενημέρωση :
27/04/2026
Αντιμυκητικό   Nystatin  
Στοματικό διάλυμα
Σταθερότητα και συμβατότητα των φαρμάκων Σταθερότητα σε μίγματα Παράγοντας που επηρεάζει τη σταθερότητα Συμβατότητες Βιβλιογραφία pdf
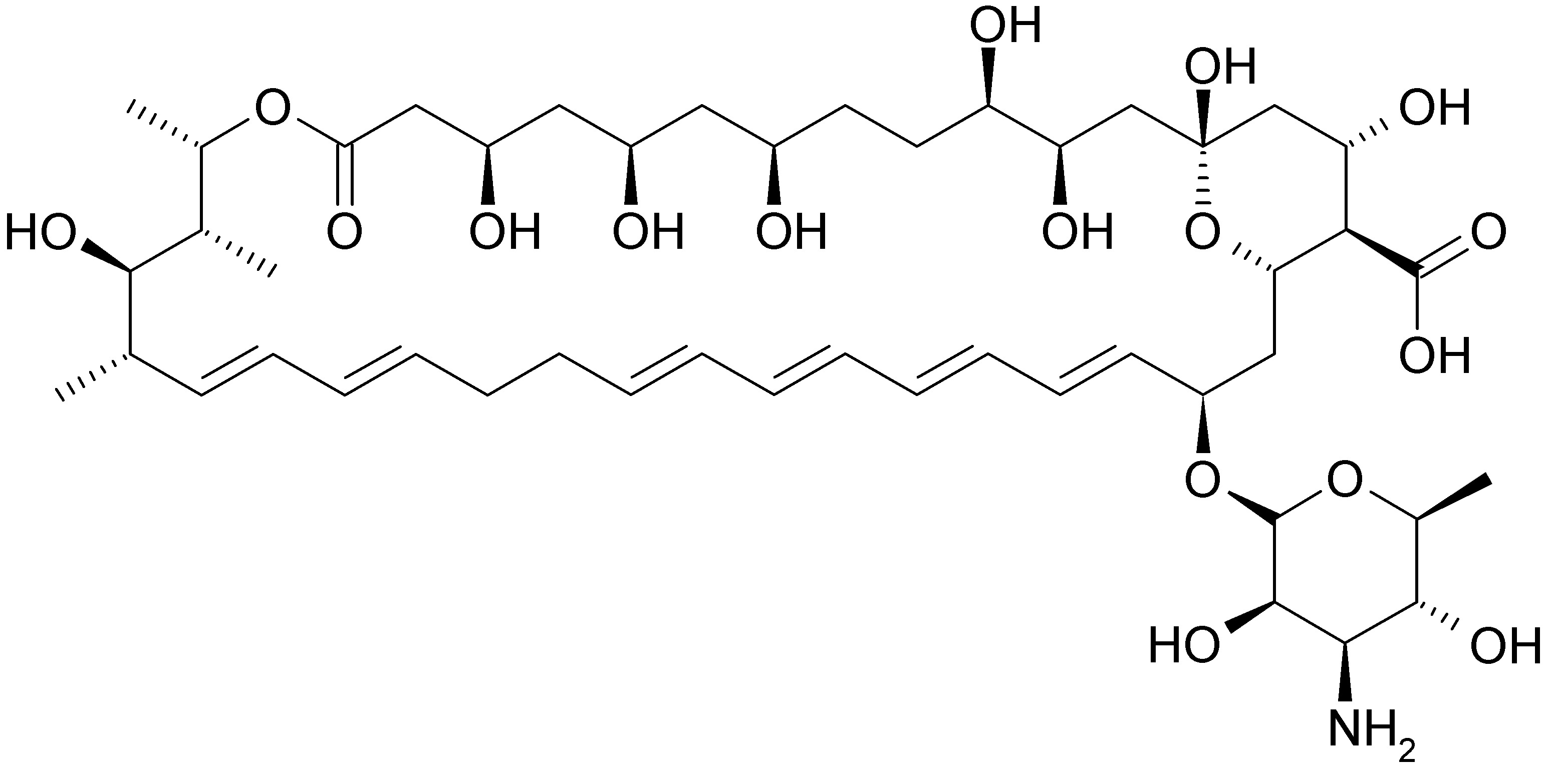
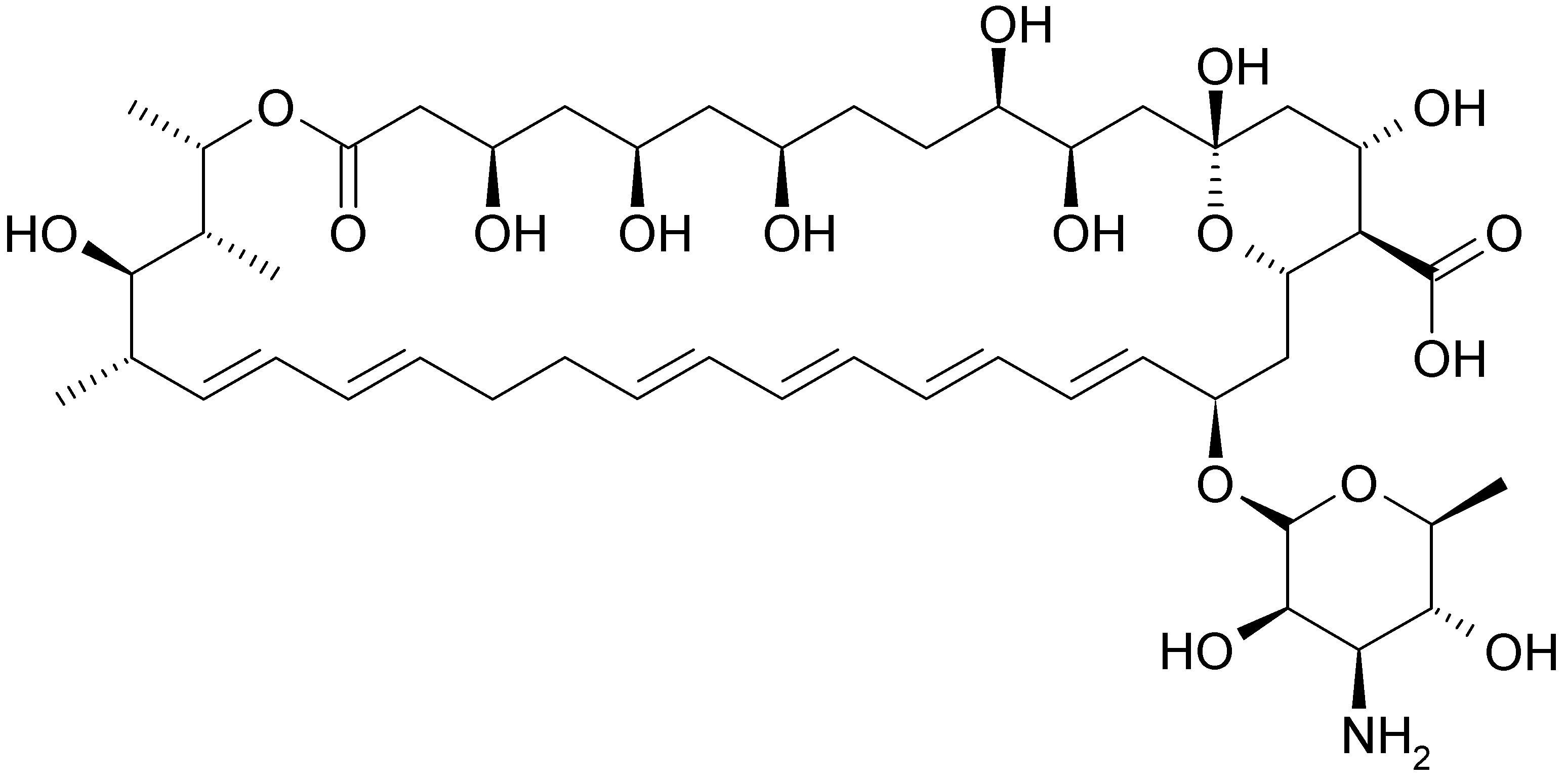
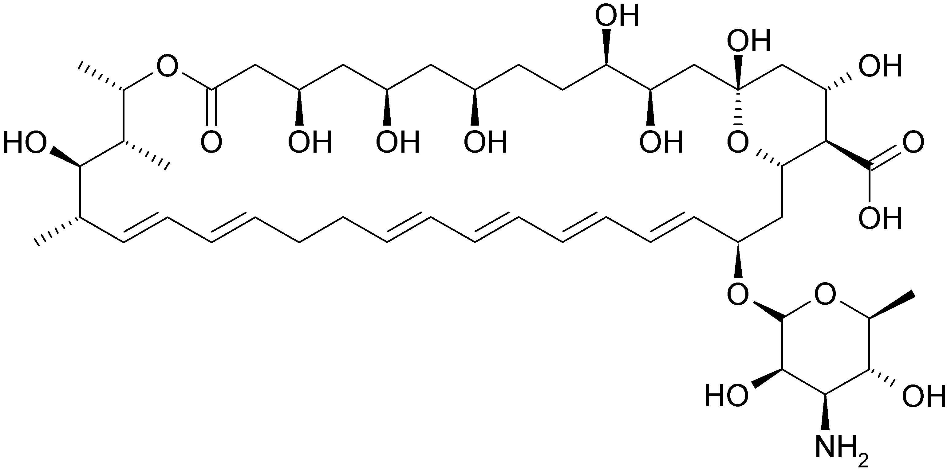
   χημική δομή  

Στοματικό διάλυμα
Συμβατότητες    Στοματικό διάλυμα   Συμβατότητες : Nystatin              
Δεν υπάρχουν πληροφορίες

  Mentions Légales