Poslední aktualizace :
27/04/2026
Priešgrybelinis vaistas   Nystatin  
Skystis burnai skalauti
Stabilumas farmacinių preparatų Mišinių stabilumas Stabilumą lemiantys veiksniai Suderinamumas Bibliografija pdf
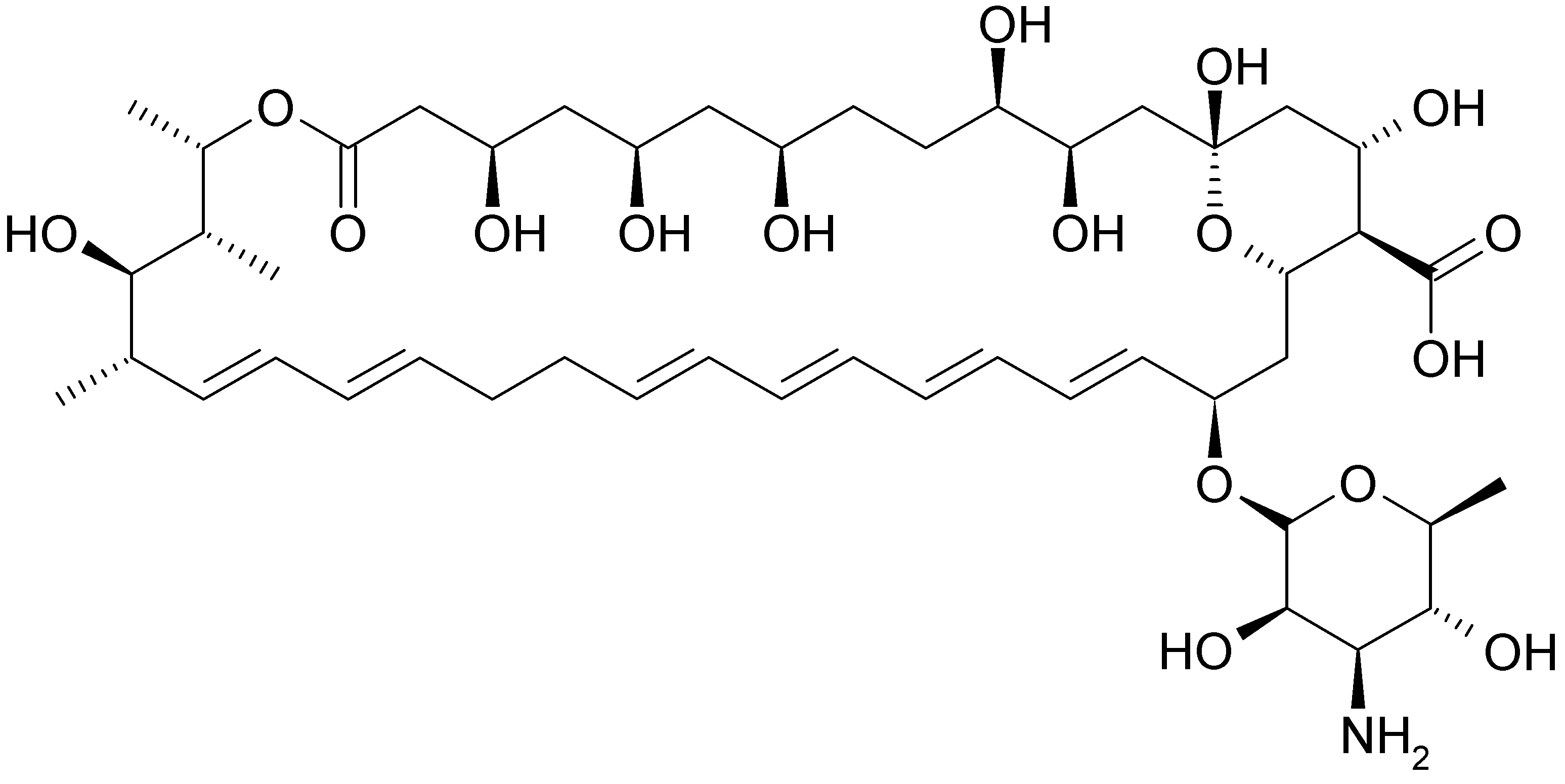
   Cheminė sandara  

Skystis burnai skalauti
Suderinamumas   Skystis burnai skalauti   Suderinamumas : Nystatin              
Nėra duomenų

  Mentions Légales