Ultimele actualizari :
27/04/2026
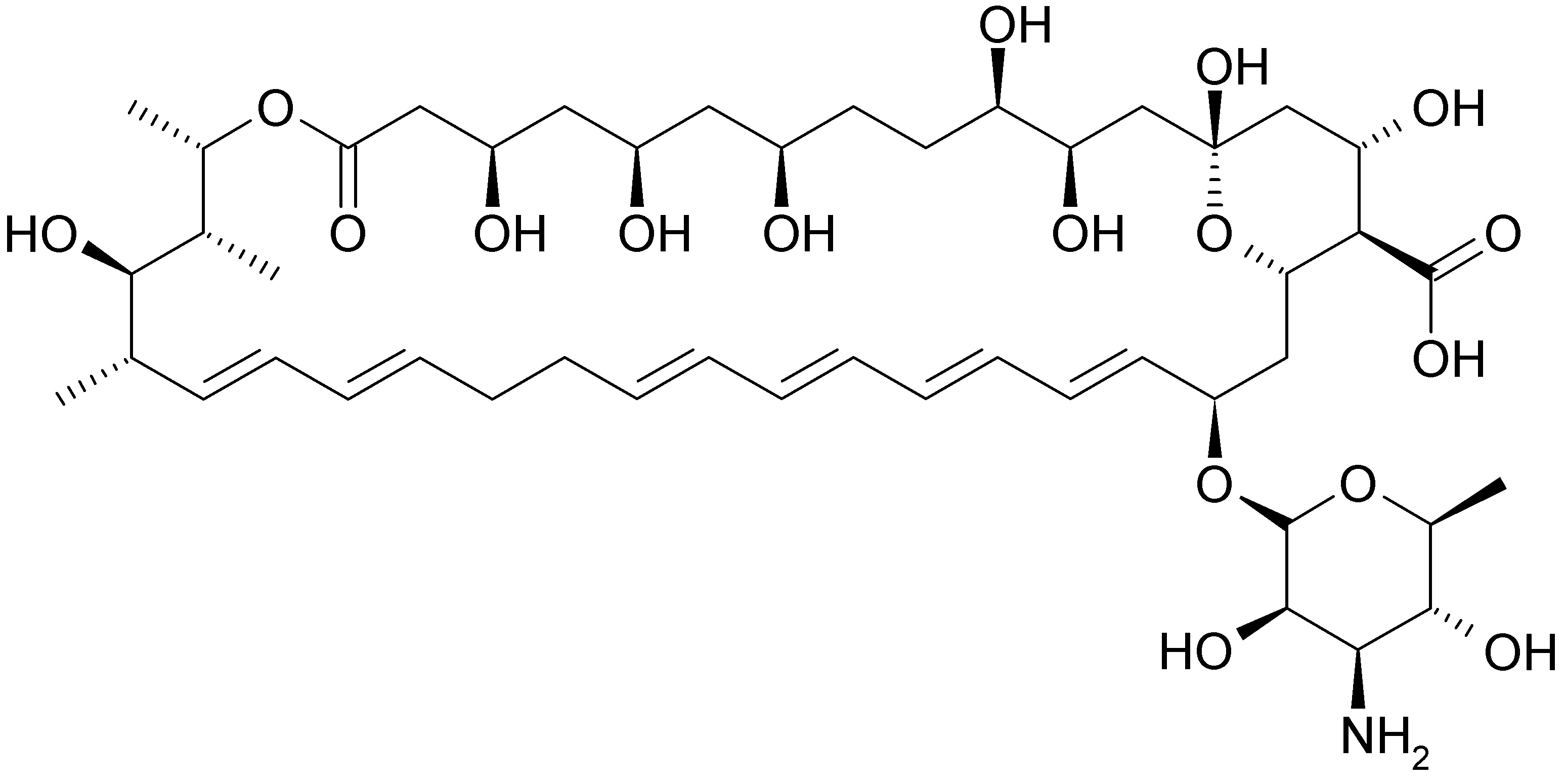
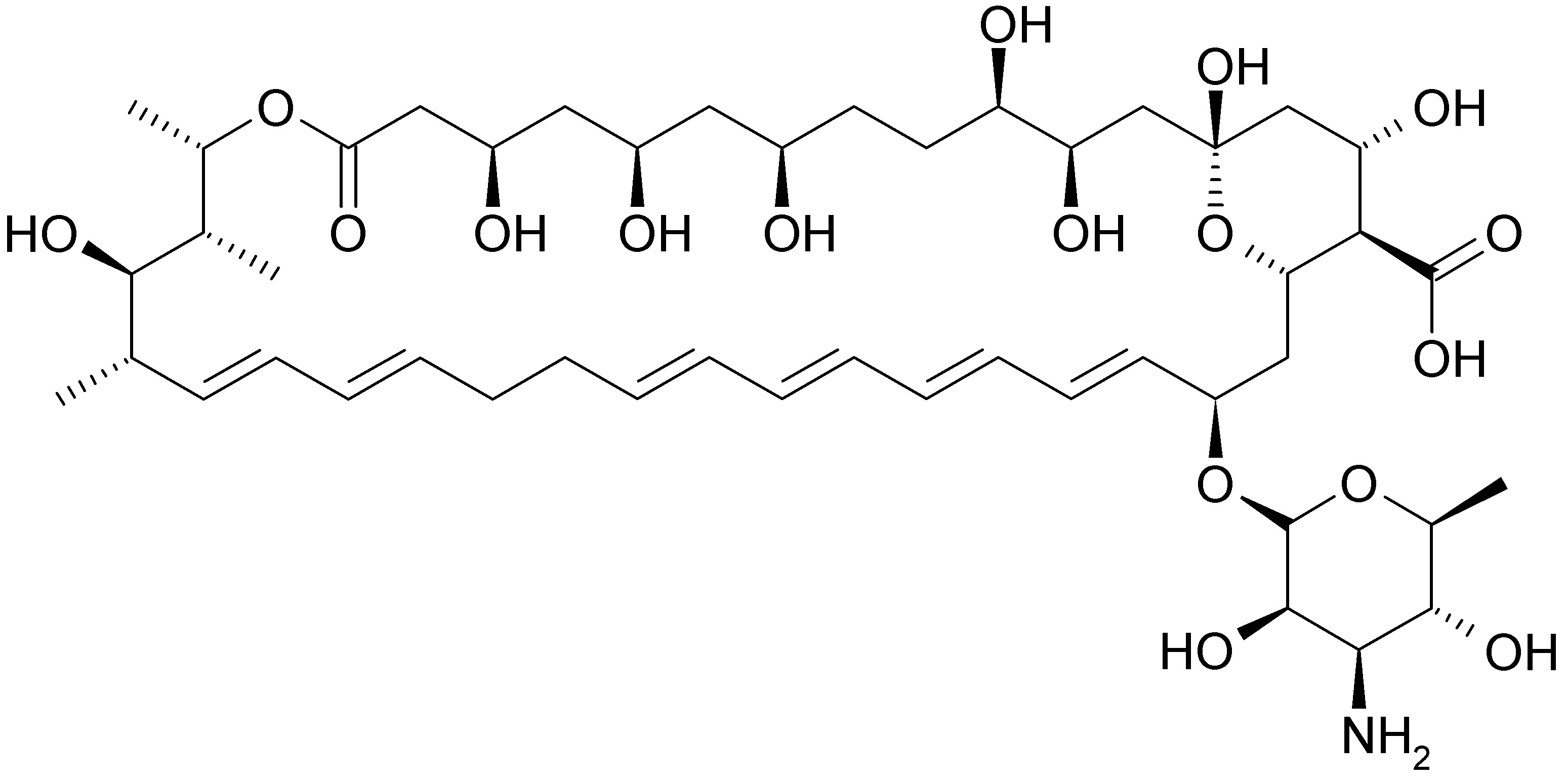
Antifungic   Nystatin  
Gargara
Stabilitatea preparatelor farmaceutice Stabilitatea in amestec Factorii care influenteaza stabilitatea Compatibilitate Bibliografie pdf
   Formula chimica  

Gargara
Compatibilitate   Gargara   Compatibilitate : Nystatin              
Absenta de date

  Mentions Légales