Seneste opdatering :
27/04/2026
Antisvampe   Nystatin  
Mundskyllevæske
Stabilitet af farmaceutiske tilberedninger Stabilitet i blandinger Faktorer der påvirker stabiliteten Kompatibilitet Bibliografi pdf
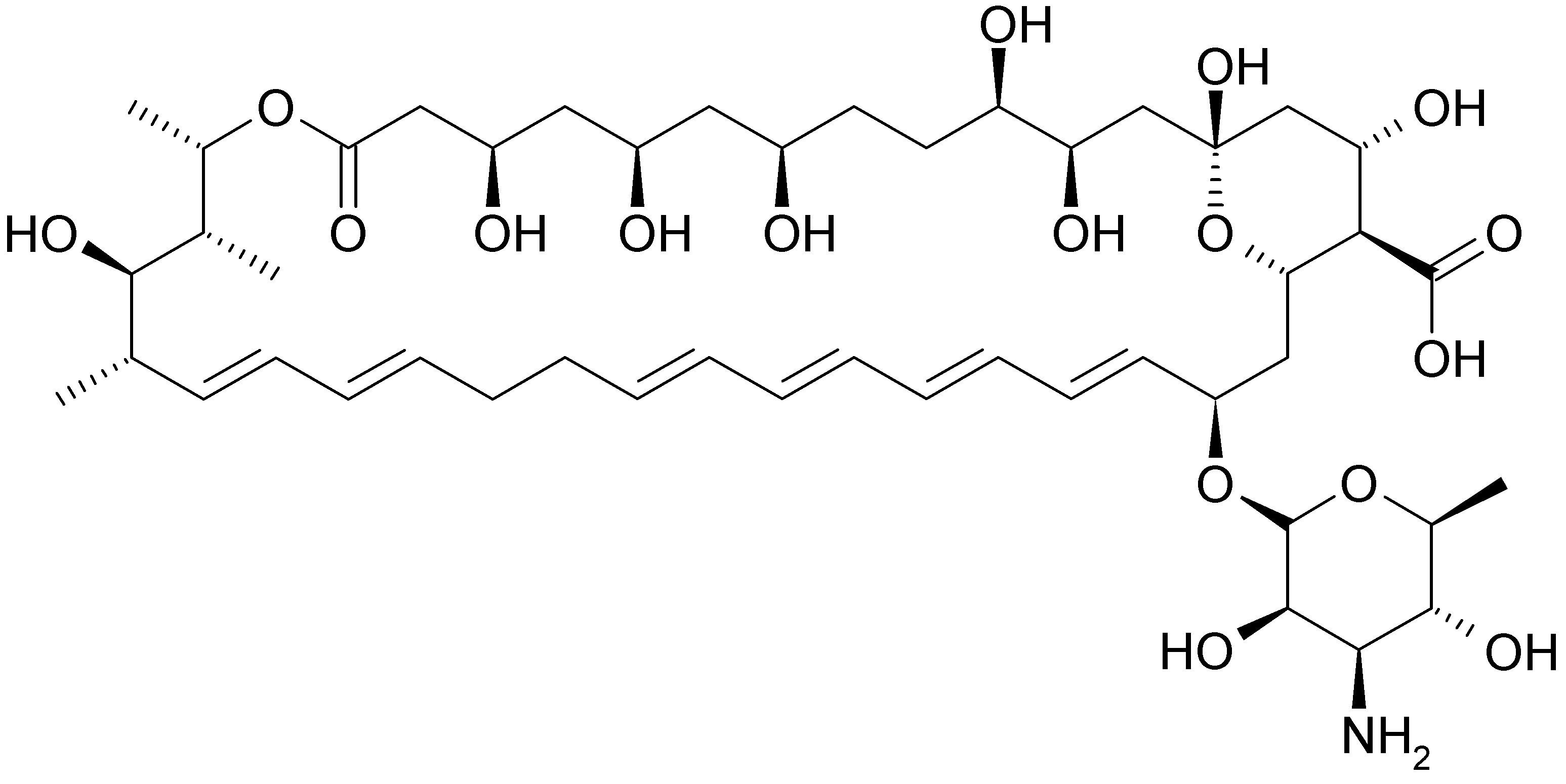
   Kemisk struktur  

Mundskyllevæske
Kompatibilitet   Mundskyllevæske   Kompatibilitet : Nystatin              
Ingen data

  Mentions Légales