Letztes “update” :
27/04/2026
Antifungoid   Nystatin  
Mundspüllösung
Stabilität von pharmazeutischen Präparaten Gemengestabilität Stabilitätbeeinflussende Faktoren Kompatibilitäten Literaturverzeichnis pdf
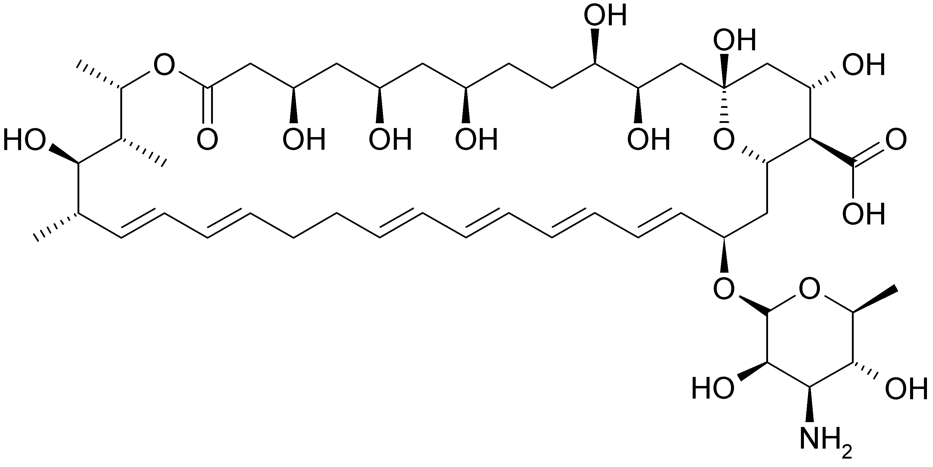
   Chemische Struktur  

Mundspüllösung
Kompatibilitäten   Mundspüllösung   Kompatibilitäten : Nystatin              
Keine Daten

  Mentions Légales