Pēdējā atjaunošana :
27/04/2026
Pretsēnīšu līdzeklis   Nystatin  
Mutes skalojamais līdzeklis
Stabilitāte farmaceitisko preparātu Maisījuma stabilitāte Stabilitāti ietekmējoši faktori Saderība Literatūras saraksts pdf
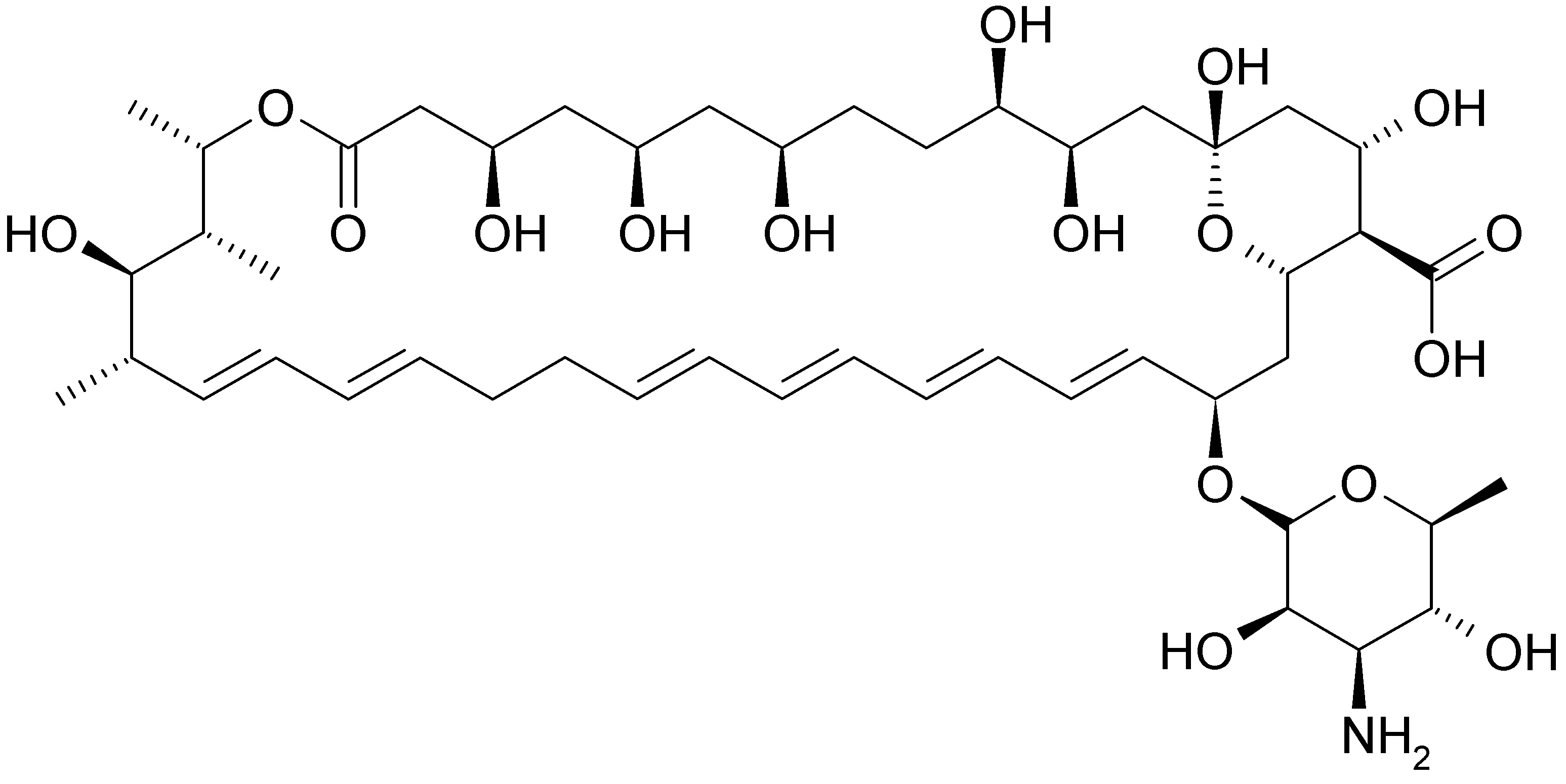
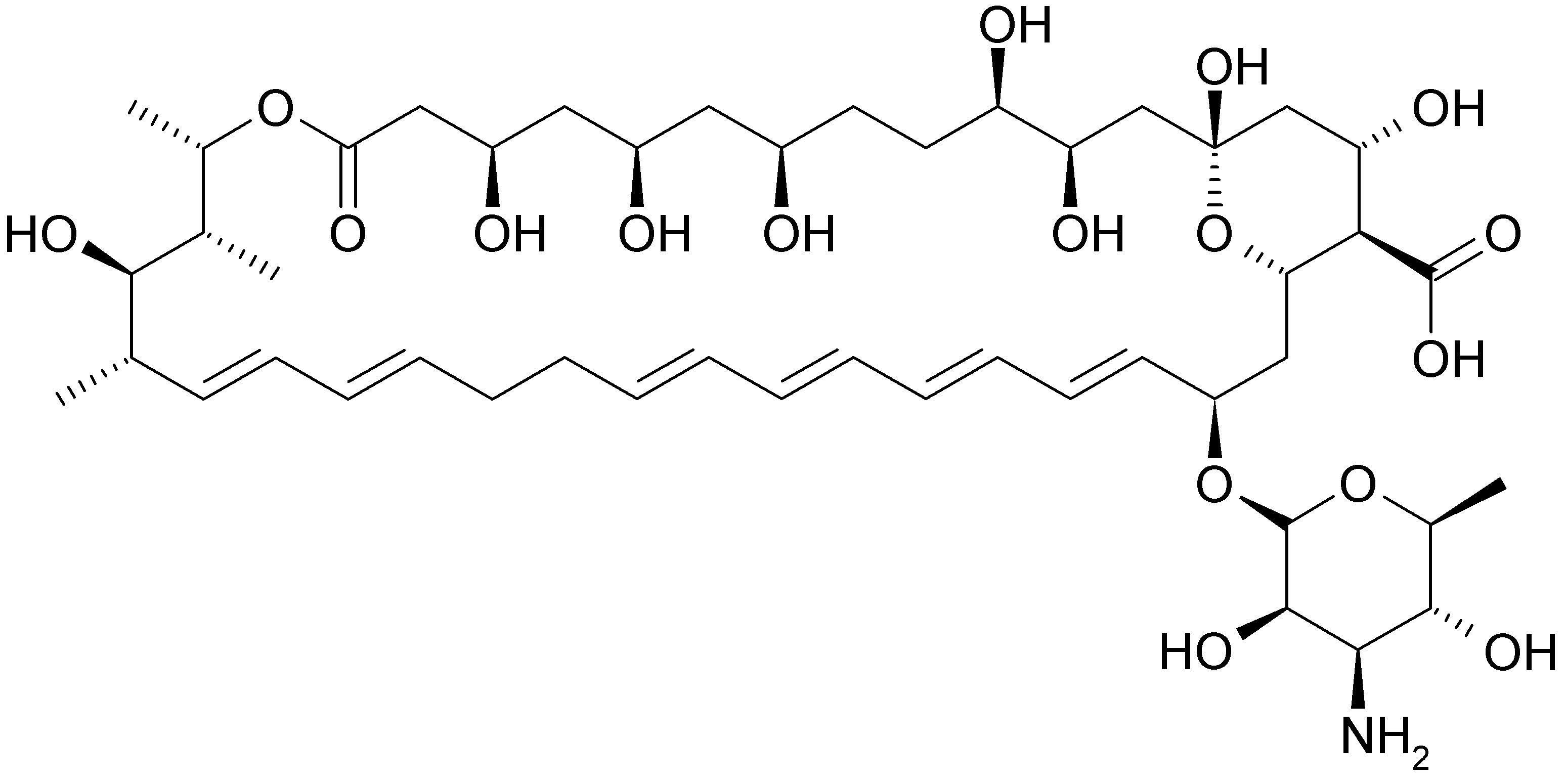
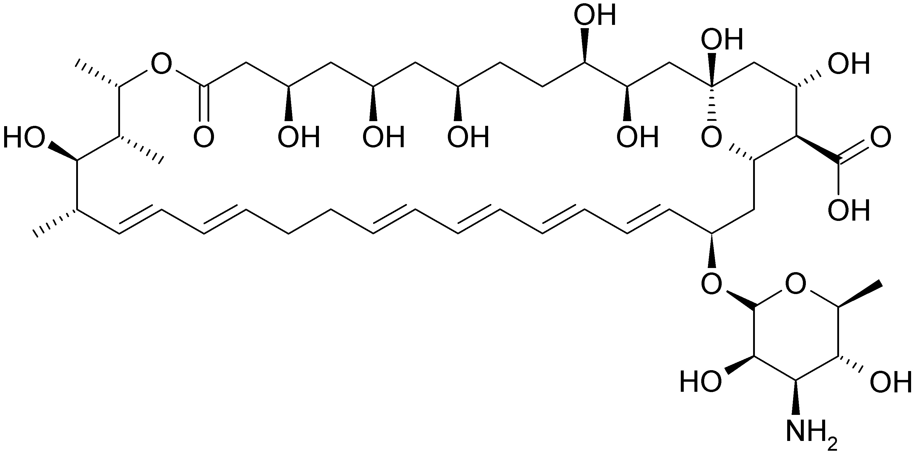
   Ķīmiskā uzbūve   

Mutes skalojamais līdzeklis
Saderība   Mutes skalojamais līdzeklis   Saderība : Nystatin              
Nav datu

  Mentions Légales