Ostatnia aktualizacja :
27/04/2026
Lek przeciwgrzybiczny   Nystatin  
Roztwór do płukania gardła
Stabilność preparatów farmaceutycznych Trwałość w mieszaninie Czynnik wpływający na trwałość Zgodność Bibliografia pdf
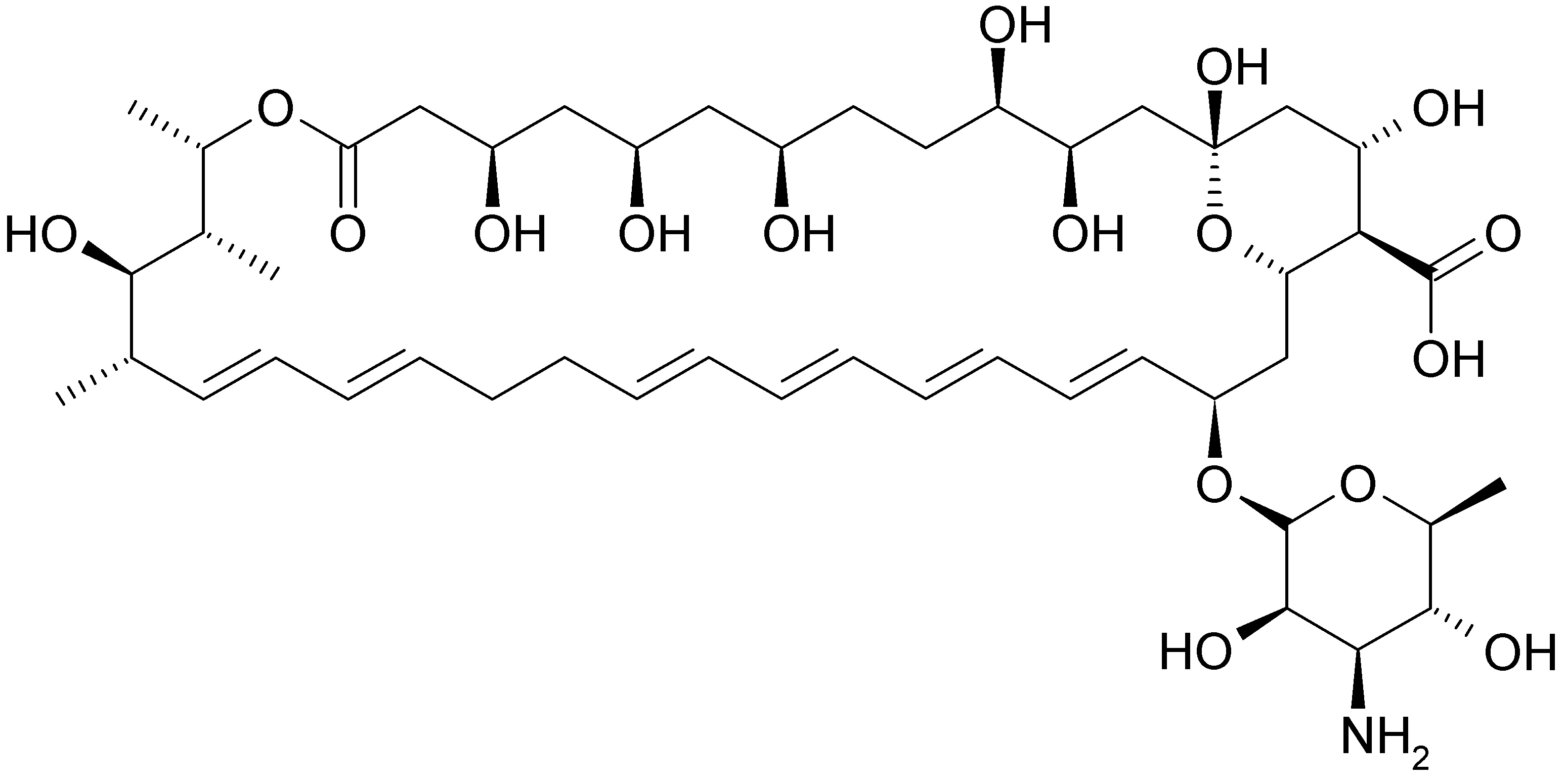
   Struktura chemiczna  

Roztwór do płukania gardła
Zgodność   Roztwór do płukania gardła   Zgodność : Nystatin              
Brak danych

  Mentions Légales