Siste oppdatering :
27/04/2026
Fungicid   Nystatin  
Munnvann
Stabilitet av farmasøytiske preparater Stabilitet i blandinger Faktorer som påvirker stabiliteten Kompatibilitet Referanser pdf
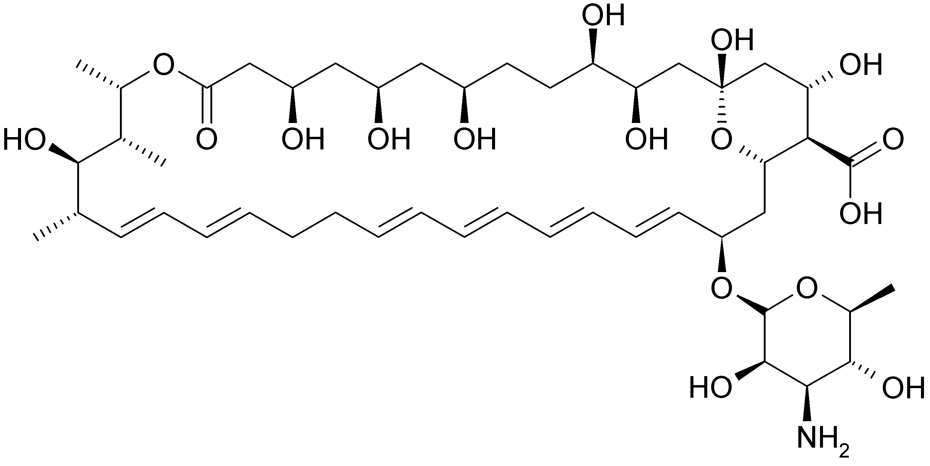
   Kjemisk struktur  

Munnvann
Kompatibilitet   Munnvann   Kompatibilitet : Nystatin              
Ingen opplysninger

  Mentions Légales