Posledná aktualizácia :
27/04/2026
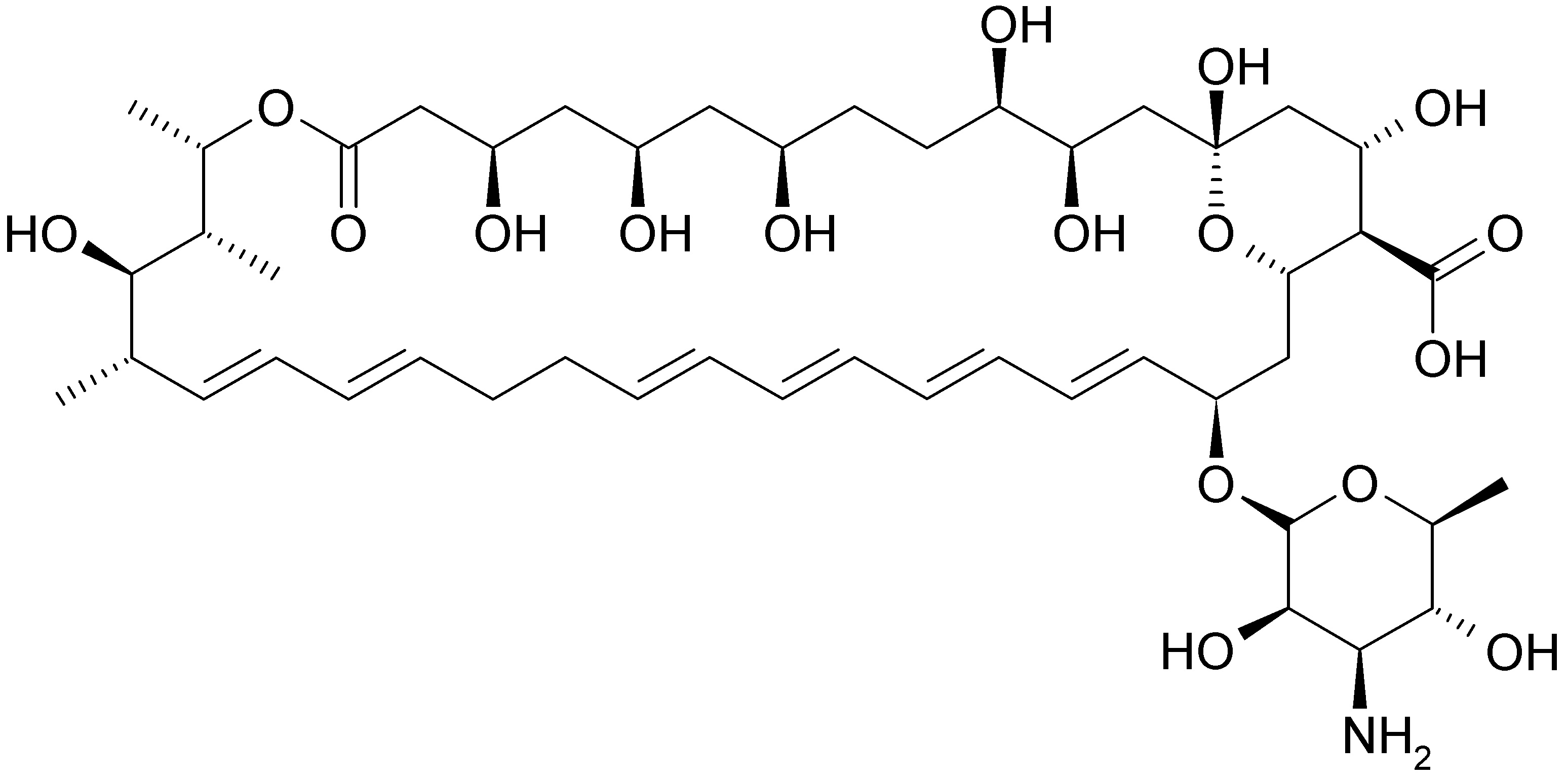
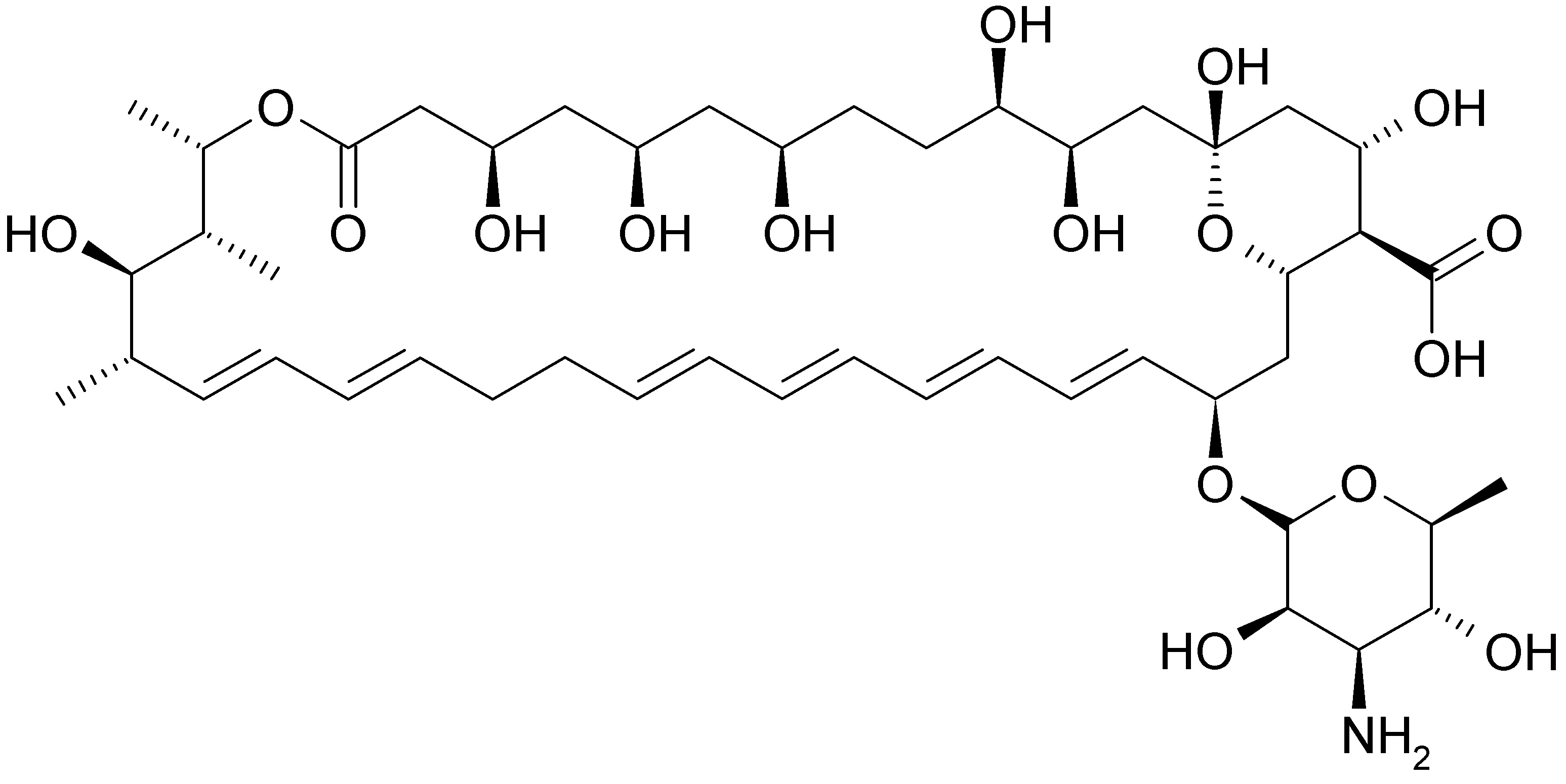
antimykotikum   Nystatin  
Kloktadlo
Stabilita farmaceutických prípravkov Stabilita v zmesiach Faktory ovplyvňujúce stabilitu Kompatibility Odkazy na literatúru PDF
   Chemický vzorec  

Kloktadlo
Kompatibility   Kloktadlo   Kompatibility : Nystatin              
žiadne údaje

  Mentions Légales