viimane versioon :
27/04/2026
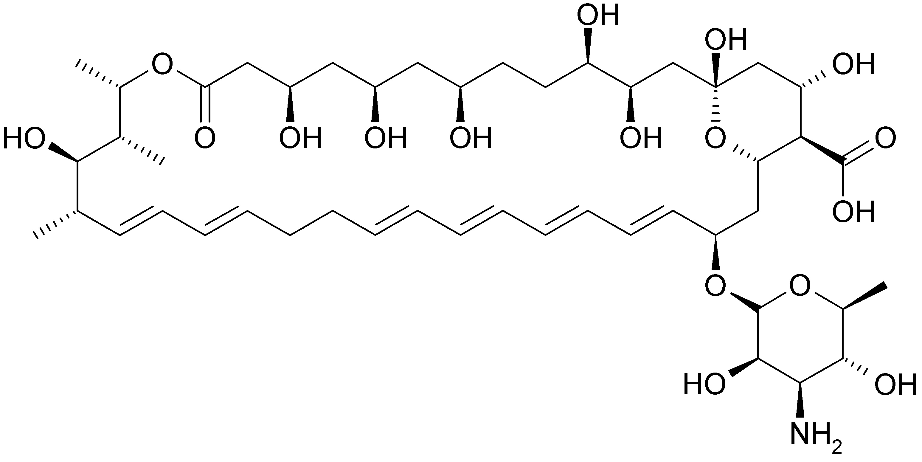
Seenevastane ravim   Nystatin  
Suuloputus lahus
Stabiilsust ravimpreparaadid Stabiilsust mõjutavad tegurid stabiilsust mõjutavad faktorid Sobimatus Viited pdf
   keemiline struktuur  

Suuloputus lahus
Sobimatus   Suuloputus lahus   Sobimatus : Nystatin              
andmed puuduvad

  Mentions Légales