Son güncelleme :
27/04/2026
Infostab
Listeler
Listeler
Uyumluluk arayın
Y site uyumluluk tablosu
Kaynaklar
Araştırma Takımlar
valistab
afiş
Bağlantıları
sponsorlar
Yazar
Kullanıcı rehberi
Bültenini
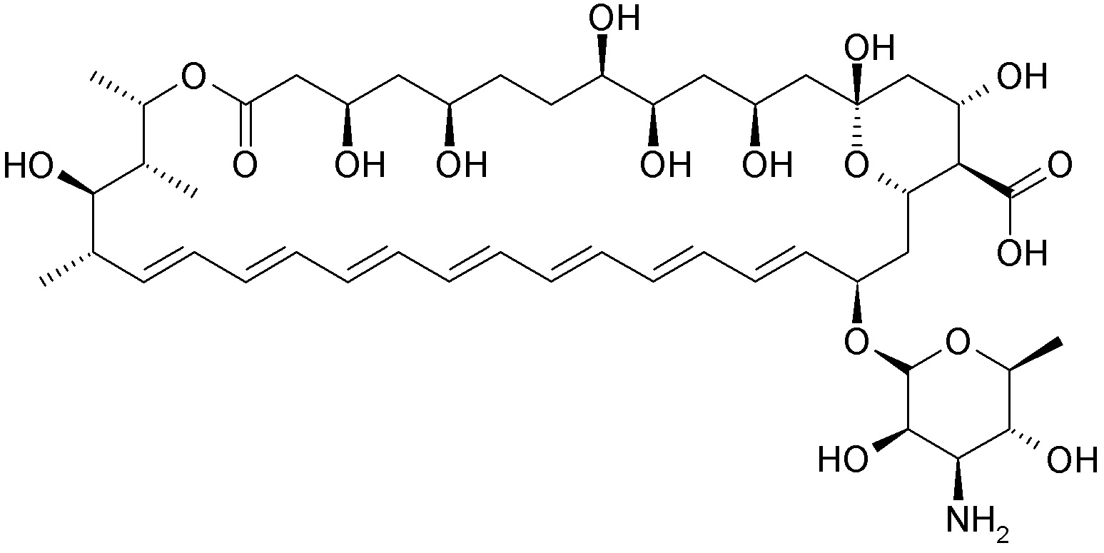
Amphotericin B
Kimyasal yapı
Farmasötik preparatlar Kararlılığı : Amphotericin B
50 mg
Fungizona® (Squibb Industria Farmaceutica)
Enjeksiyonluk su
>> 50 ml
20-25°C
30
3069
50 mg
Fungizona® (Squibb Industria Farmaceutica)
Enjeksiyonluk su
>> 50 ml
4-8°C
30
3069
Mentions Légales