Senaste uppdateringen :
27/04/2026
Antimykotikum   Amphotericin B  
Aerosol
injektion Munvatten ögondroppar Oral lösning
Stabilitet av läkemedel Stabilitet i blandningar Faktorer som påverkar stabiliteten Kompatibilitet Hänvisningar pdf
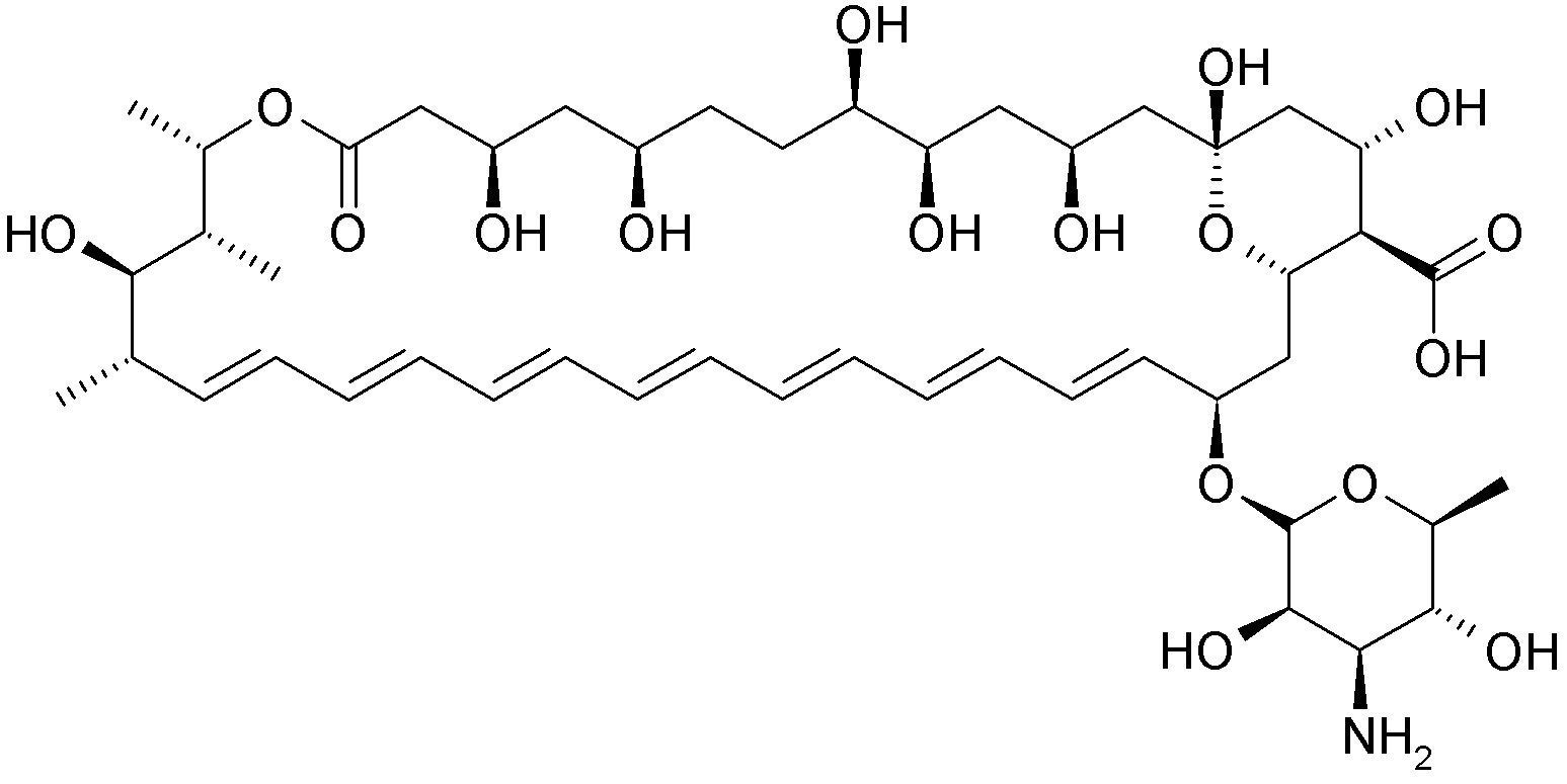
   Molekylstruktur  

Aerosol
Stabilitet av läkemedel   Aerosol   Stabilitet av läkemedel : Amphotericin B     
Behållare Origine Hjälpämne Temperatur Förvaring Stabilitets varaktighet Hänvisningar
Glas injektionsflaska 50 mg
Fungizona® (Squibb Industria Farmaceutica)
Vatten för injektion >> 50 ml
20-25°C Med eller utan ljus
30 Dag
3069

Glas injektionsflaska 50 mg
Fungizona® (Squibb Industria Farmaceutica)
Vatten för injektion >> 50 ml
4-8°C Skyddas från ljus
30 Dag
3069


  Mentions Légales