Zadnji put ažurirano :
27/04/2026
antifungicid   Amphotericin B  
aerosol
injekcija kapi za oko oralna otopina  otopina za ispiranje usne šupljine
Stabilnost farmaceutskih pripravaka Stabilnost mješavine Stabilizacijski faktor Kompatibilnosti Bibliografija pdf
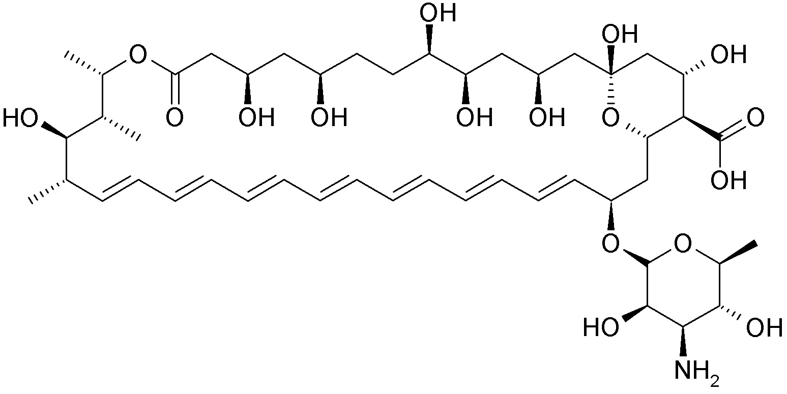
   Kemijska struktura  

aerosol
Stabilnost farmaceutskih pripravaka   aerosol   Stabilnost farmaceutskih pripravaka : Amphotericin B     
Kontejner Origine pomoćna tvar temperatura Konzerviranje Trajanje stabilnosti Bibliografija
čaša bočica za injekcije 50 mg
Fungizona® (Squibb Industria Farmaceutica)
voda za injekcije >> 50 ml
20-25°C Sa i bez svjetlosti
30 dan
3069

čaša bočica za injekcije 50 mg
Fungizona® (Squibb Industria Farmaceutica)
voda za injekcije >> 50 ml
4-8°C Zaštićeno od svjetlosti
30 dan
3069


  Mentions Légales