Τελευταία ενημέρωση :
27/04/2026
Αντιμυκητικό   Amphotericin B  
Αεροζόλ
Ενέσιμο Οφθαλμικές σταγόνες Πόσιμο διάλυμα Στοματικό διάλυμα
Σταθερότητα και συμβατότητα των φαρμάκων Σταθερότητα σε μίγματα Παράγοντας που επηρεάζει τη σταθερότητα Συμβατότητες Βιβλιογραφία pdf
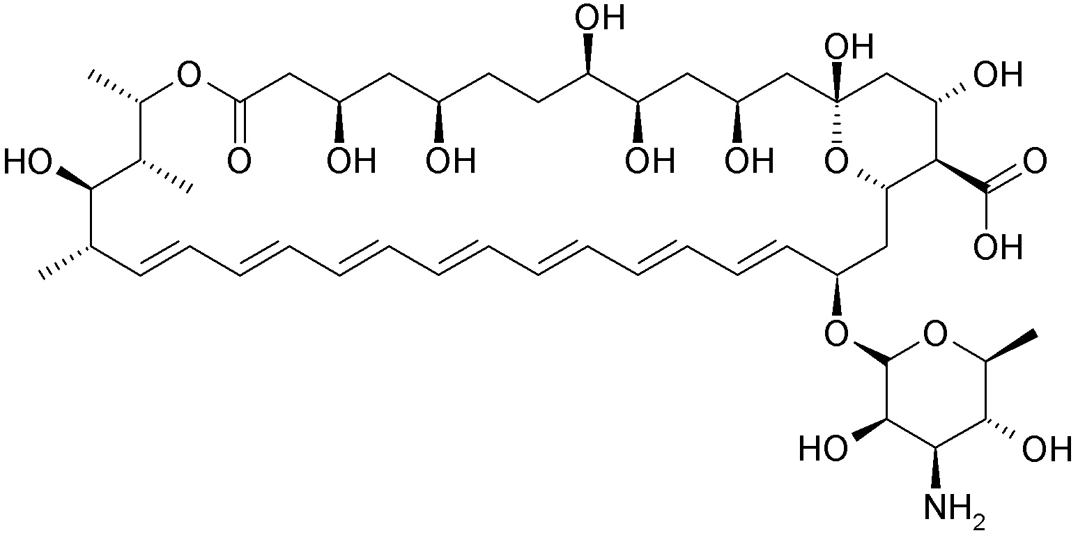
   χημική δομή  

Αεροζόλ
Σταθερότητα και συμβατότητα των φαρμάκων   Αεροζόλ   Σταθερότητα και συμβατότητα των φαρμάκων : Amphotericin B     
Υποδοχέας Origine Έκδοχο Θερμοκρασία Αποθήκευση Διάρκεια σταθερότητας Βιβλιογραφία
Ύαλος Φιαλίδιο φαρμάκου για ένεση 50 mg
Fungizona® (Squibb Industria Farmaceutica)
Ύδωρ για ενέσιμα >> 50 ml
20-25°C Με ή χωρίς φως
30 Ημέρα
3069

Ύαλος Φιαλίδιο φαρμάκου για ένεση 50 mg
Fungizona® (Squibb Industria Farmaceutica)
Ύδωρ για ενέσιμα >> 50 ml
4-8°C Προστατεύετε από το φως
30 Ημέρα
3069


  Mentions Légales