viimane versioon :
27/04/2026
Seenevastane ravim   Amphotericin B  
aerosool
Silmatilgad Süsteravim suukaudne lahus Suuloputus lahus
Stabiilsust ravimpreparaadid Stabiilsust mõjutavad tegurid stabiilsust mõjutavad faktorid Sobimatus Viited pdf
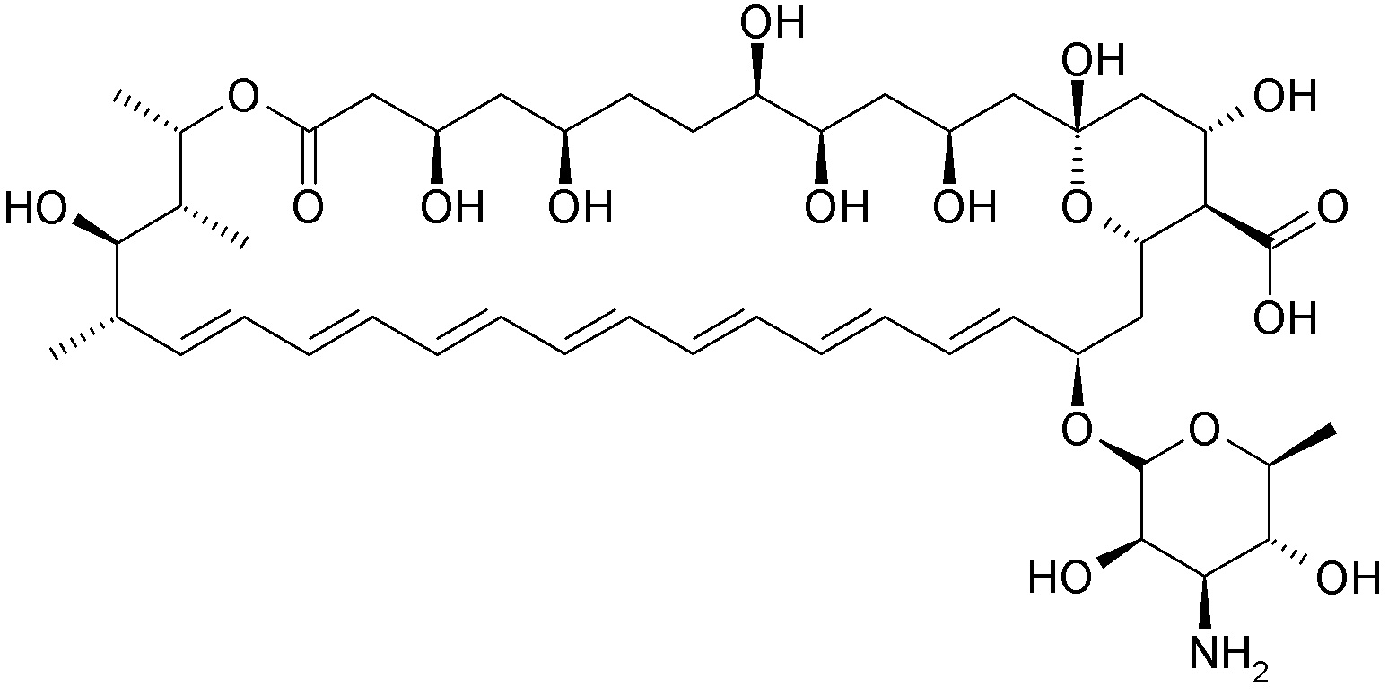
   keemiline struktuur  

aerosool
Stabiilsust ravimpreparaadid   aerosool   Stabiilsust ravimpreparaadid : Amphotericin B     
konteiner Origine  abiaine temperatuur ladustamine Stabiilsuse kestus Viited
klaas Süsteravimi viaal 50 mg
Fungizona® (Squibb Industria Farmaceutica)
süstevesi >> 50 ml
20-25°C valgusega või ilma valguseta
30 päev
3069

klaas Süsteravimi viaal 50 mg
Fungizona® (Squibb Industria Farmaceutica)
süstevesi >> 50 ml
4-8°C kaitsta valguse eest
30 päev
3069


  Mentions Légales