Última actualización :
27/01/2026
Antifúngico   Amphotericin B  
Aerosol
Enjuagues bucales Gotas oculares Inyectables Solución Oral
La estabilidad de las preparaciones farmacéuticas Estabilidad en mezcla Factores que influyen sobre la estabilidad Compatibilidades Bibliografía pdf
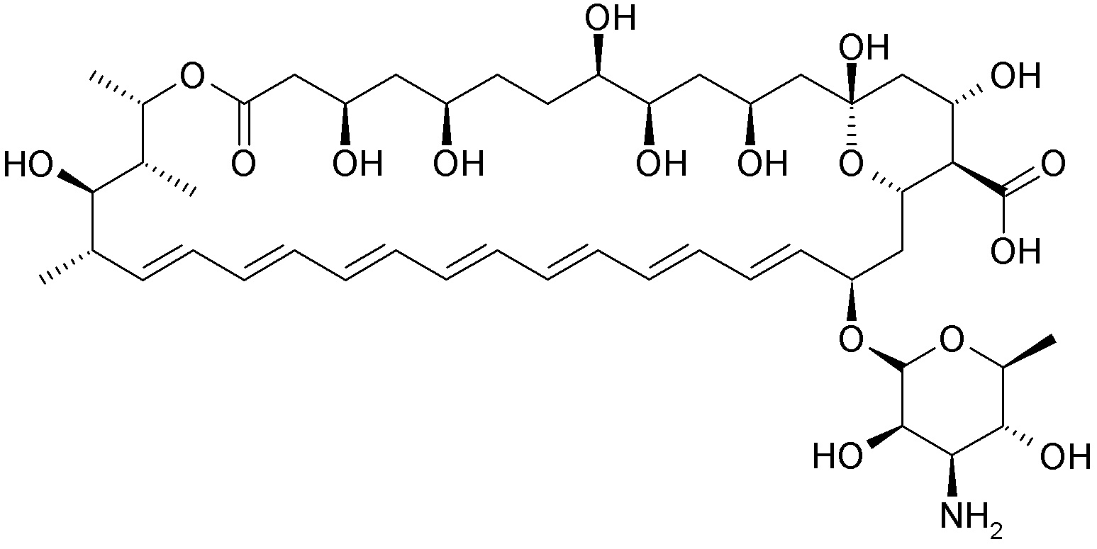
   Estructura química  

Aerosol
La estabilidad de las preparaciones farmacéuticas   Aerosol   La estabilidad de las preparaciones farmacéuticas : Amphotericin B     
Envase Origine Excipiente Temperatura Conservación Duración de la estabilidad Bibliografía
Vidrio Frasco para medicamentos inyectables 50 mg
Fungizona® (Squibb Industria Farmaceutica)
Agua para inyección >> 50 ml
20-25°C Con o sin luz
30 Día
3069

Vidrio Frasco para medicamentos inyectables 50 mg
Fungizona® (Squibb Industria Farmaceutica)
Agua para inyección >> 50 ml
4-8°C A cubierto de la luz
30 Día
3069


  Mentions Légales