Viimeisin päivitys :
18/03/2026
Sienilääkkeet   Amphotericin B  
Aerosoli
Injektioneste Oraaliliuos Silmätipat Suuvesi
Vakaus lääkevalmisteen Stabilius seoksissa Tekijät, jotka vaikuttavat stabiliuteen Yhteensopivuus Viitteet pdf
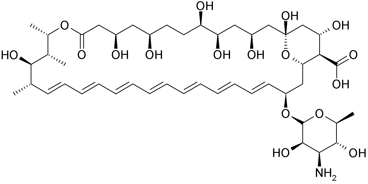
   Kemiallinen rakenne  

Aerosoli
Vakaus lääkevalmisteen   Aerosoli   Vakaus lääkevalmisteen : Amphotericin B     
Astia Origine Apuaine Lämpötila Säilytys Vakauden kesto Viitteet
Lasi Injektionestepullo 50 mg
Fungizona® (Squibb Industria Farmaceutica)
Injektioneste >> 50 ml
20-25°C Valossa tai suojassa valolta
30 Päivä
3069

Lasi Injektionestepullo 50 mg
Fungizona® (Squibb Industria Farmaceutica)
Injektioneste >> 50 ml
4-8°C Suojattava valolta
30 Päivä
3069


  Mentions Légales