Poslední aktualizace :
27/01/2026
Protiplísňový přípravek   Amphotericin B  
Aerosol
Humbuk injekce kloktadlo Perorální roztok
Stabilita farmaceutických přípravků Stabilita směsí Faktory ovlivňující stabilitu Kompatibilita Odkazy pdf
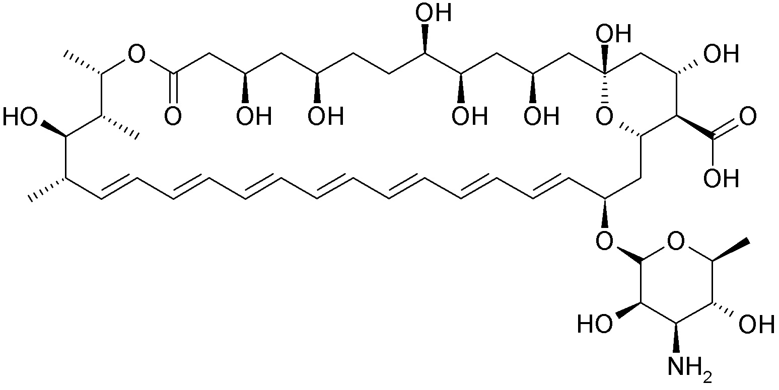
   Chemický vzorec  

Aerosol
Stabilita farmaceutických přípravků   Aerosol   Stabilita farmaceutických přípravků : Amphotericin B     
Obal Origine Pomocné látky Teplota Uchovávání Trvání stability Odkazy
Sklo Lékovka pro injekci 50 mg
Fungizona® (Squibb Industria Farmaceutica)
voda na injekci >> 50 ml
20-25°C S nebo bez svÏtla
30 Den
3069

Sklo Lékovka pro injekci 50 mg
Fungizona® (Squibb Industria Farmaceutica)
voda na injekci >> 50 ml
4-8°C Chráněno před světlem
30 Den
3069


  Mentions Légales