Ultimele actualizari :
27/04/2026
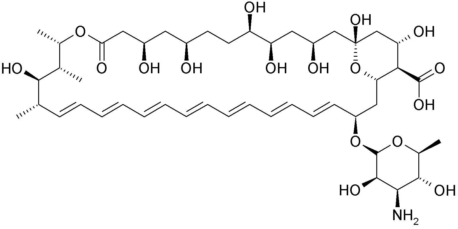
Antifungic   Amphotericin B  
Aerosol
colir Gargara Injectabil Soluţie orală
Stabilitatea preparatelor farmaceutice Stabilitatea in amestec Factorii care influenteaza stabilitatea Compatibilitate Bibliografie pdf
   Formula chimica  

Aerosol
Stabilitatea preparatelor farmaceutice   Aerosol   Stabilitatea preparatelor farmaceutice : Amphotericin B     
Continut Origine Excipient Temperatura Conservare Durata stabilității Bibiografie
sticla Flacon Flacon pentru medicament injectabil pentru injecţie 50 mg
Fungizona® (Squibb Industria Farmaceutica)
Apă pentru preparate injectabile >> 50 ml
20-25°C In prezenta sau absenta luminii
30 Ziua
3069

sticla Flacon Flacon pentru medicament injectabil pentru injecţie 50 mg
Fungizona® (Squibb Industria Farmaceutica)
Apă pentru preparate injectabile >> 50 ml
4-8°C Ferit de lumina
30 Ziua
3069


  Mentions Légales