Son güncelleme :
27/04/2026
Antifungal   Amphotericin B  
Aerosol
Enjeksiyon Gargara Göz damlası Oral solüsyon / oral çözelti
Farmasötik preparatlar Kararlılığı Karışımlardaki stabilitesi Stabiliteyi etkileyen faktörler Uyumluluk Kaynaklar pdf
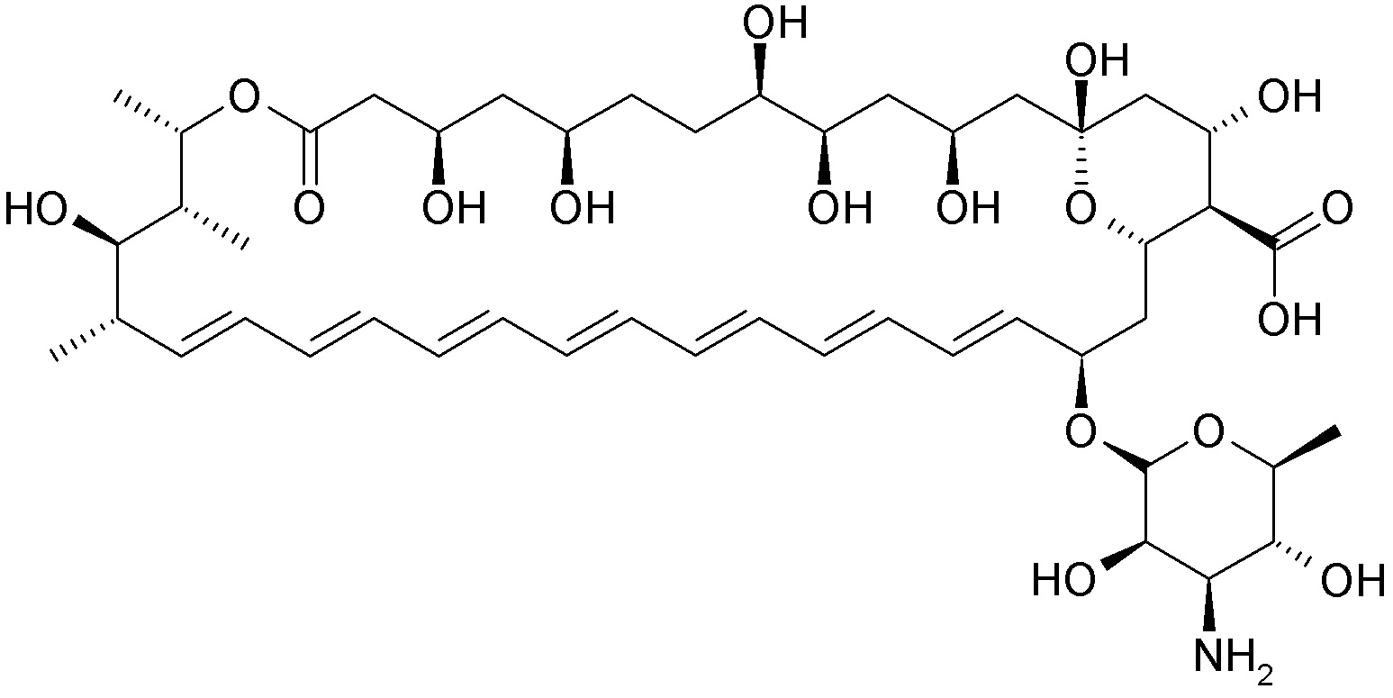
   Kimyasal yapı   

Aerosol
Kaynaklar   Aerosol   Kaynaklar : Amphotericin B  
tip yayın
3069 Dergi Juarez JC, ,Lopez RM, Hucto M et al.
Stability of amphotericin B in water solution for inhalation.
Eur Hosp Pharm 1997 ; 3: 59-60.

  Mentions Légales