Letztes “update” :
27/04/2026
Antifungoid   Amphotericin B  
Aerosol
Augentropfen Injektion Lösung zum Einnehmen Mundspüllösung
Stabilität von pharmazeutischen Präparaten Gemengestabilität Stabilitätbeeinflussende Faktoren Kompatibilitäten Literaturverzeichnis pdf
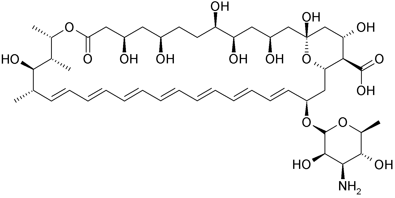
   Chemische Struktur  

Aerosol
Literaturverzeichnis   Aerosol   Literaturverzeichnis : Amphotericin B  
Typ Veröffentlichung
3069 Zeitung Juarez JC, ,Lopez RM, Hucto M et al.
Stability of amphotericin B in water solution for inhalation.
Eur Hosp Pharm 1997 ; 3: 59-60.

  Mentions Légales