Last update :
27/04/2026
Antifungal   Amphotericin B  
aerosol
Eye-drops injection Mouthwash Oral solution
Stability of pharmaceutical preparations Stability of mixtures Factors which affect stability Compatibility References pdf
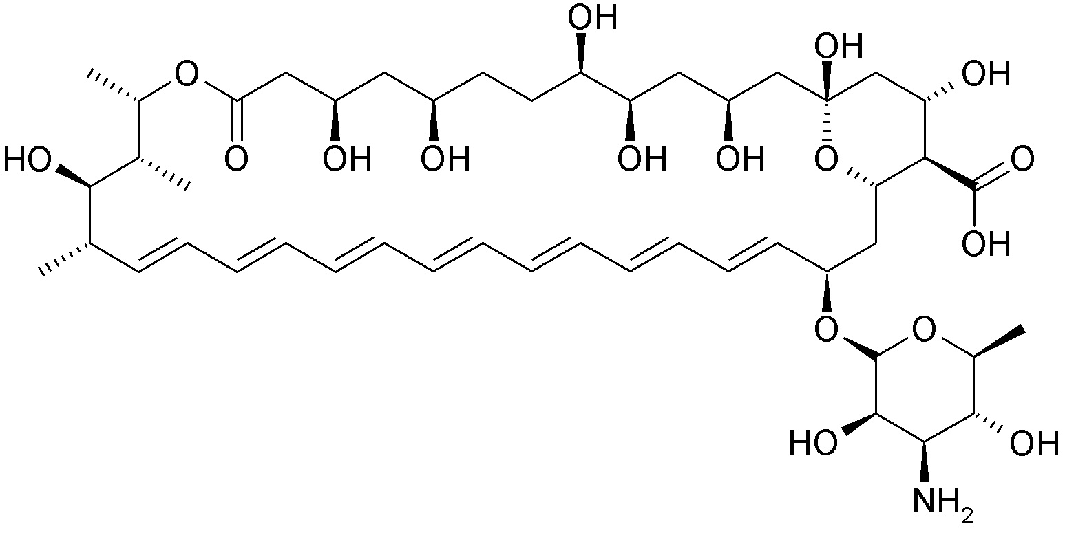
   Chemical structure  

aerosol
References   aerosol   References : Amphotericin B  
Type Publication
3069 Journal Juarez JC, ,Lopez RM, Hucto M et al.
Stability of amphotericin B in water solution for inhalation.
Eur Hosp Pharm 1997 ; 3: 59-60.

  Mentions Légales