zadnja posodobitev :
27/04/2026
Antimikotik   Amphotericin B  
Aerosol
Brizgalka Kapljice za oči Peroralna raztopina Ustna voda
Stabilnost farmacevtskih preparatov Stabilnost mešanice Faktorji, ki vplivajo na stabilnost Kompatibilnost Viri pdf
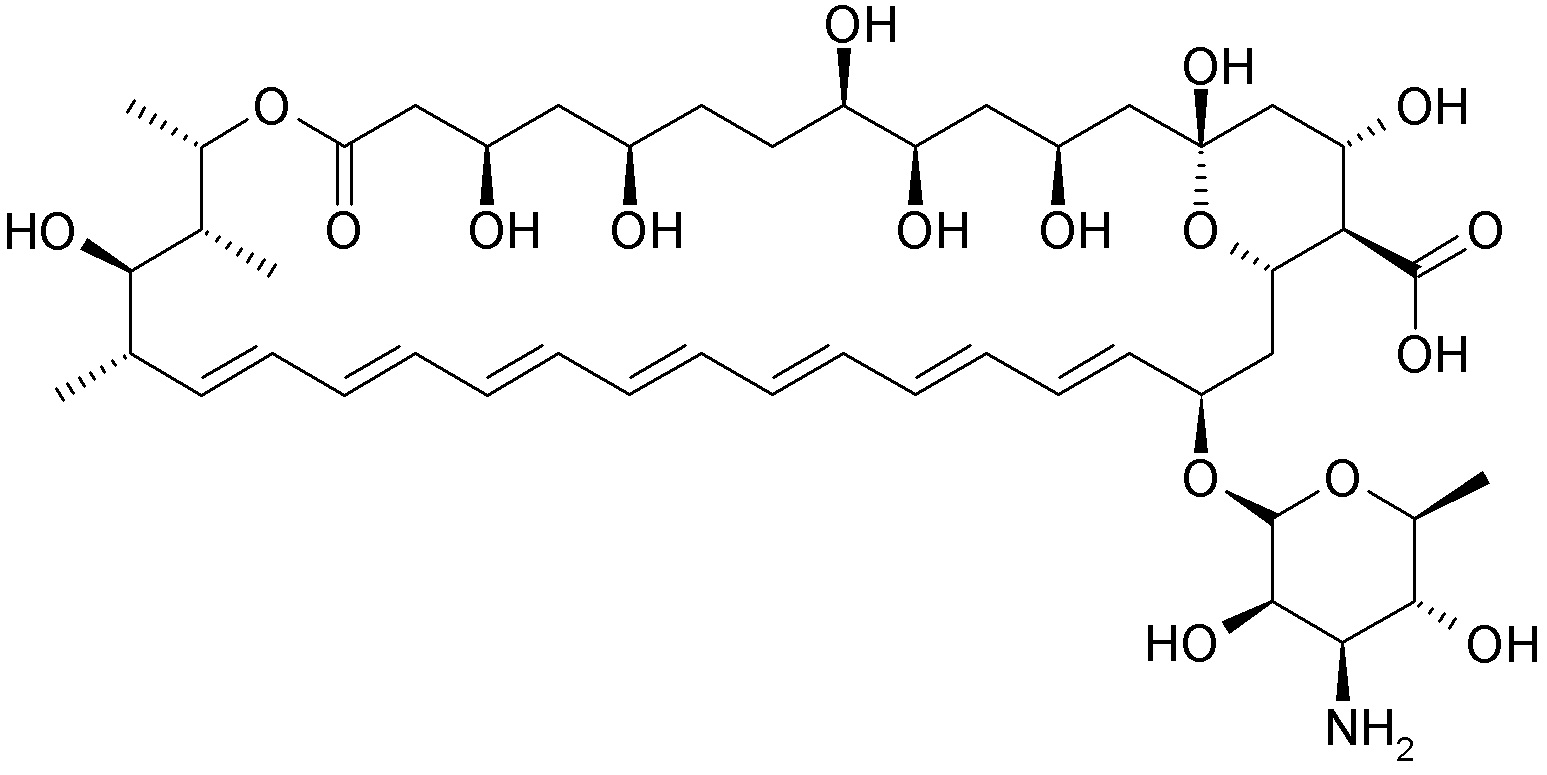
   Kemična formula  

Aerosol
Viri   Aerosol   Viri : Amphotericin B  
Tip objava
3069 časopis Juarez JC, ,Lopez RM, Hucto M et al.
Stability of amphotericin B in water solution for inhalation.
Eur Hosp Pharm 1997 ; 3: 59-60.

  Mentions Légales