Poslední aktualizace :
27/04/2026
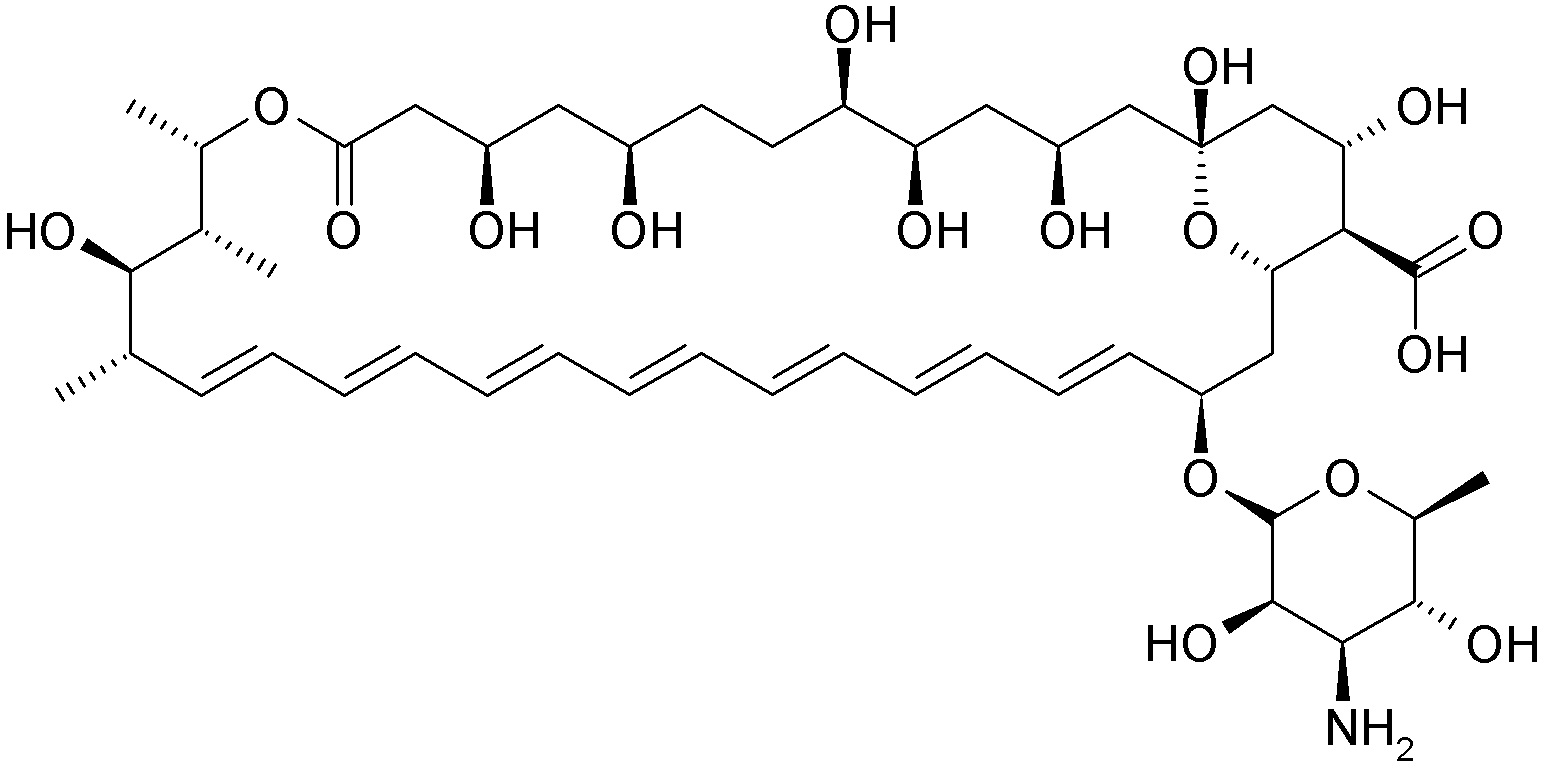
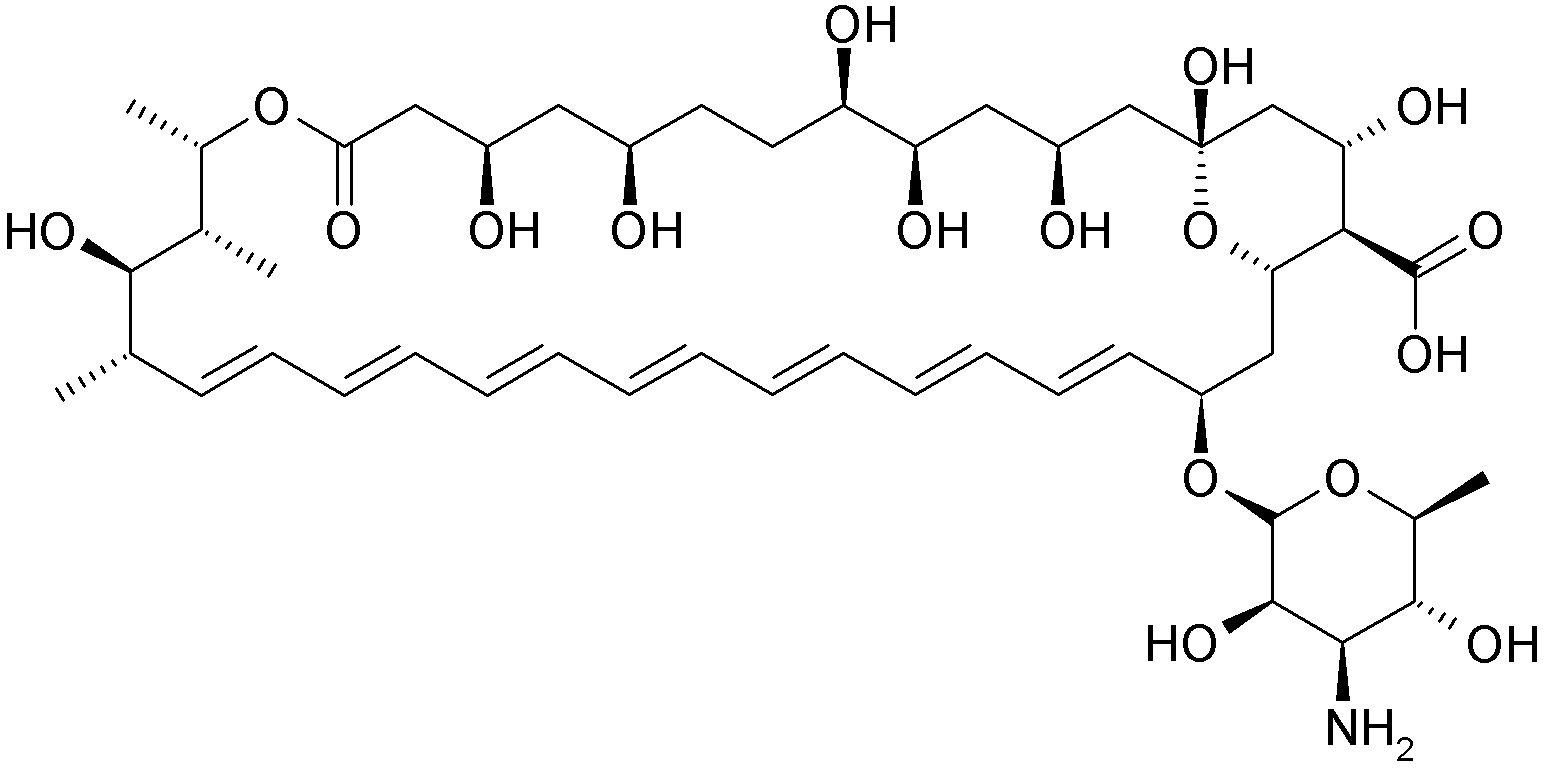
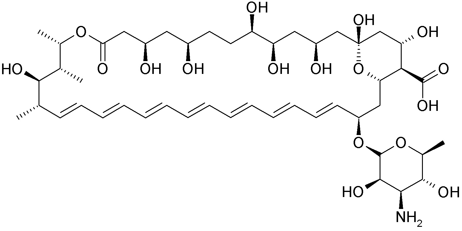
Protiplísňový přípravek   Amphotericin B  
Aerosol
Humbuk injekce kloktadlo Perorální roztok
Stabilita farmaceutických přípravků Stabilita směsí Faktory ovlivňující stabilitu Kompatibilita Odkazy pdf
   Chemický vzorec  

Aerosol
Odkazy   Aerosol   Odkazy : Amphotericin B  
typ uveřejnění
3069 noviny Juarez JC, ,Lopez RM, Hucto M et al.
Stability of amphotericin B in water solution for inhalation.
Eur Hosp Pharm 1997 ; 3: 59-60.

  Mentions Légales