Ultimele actualizari :
27/04/2026
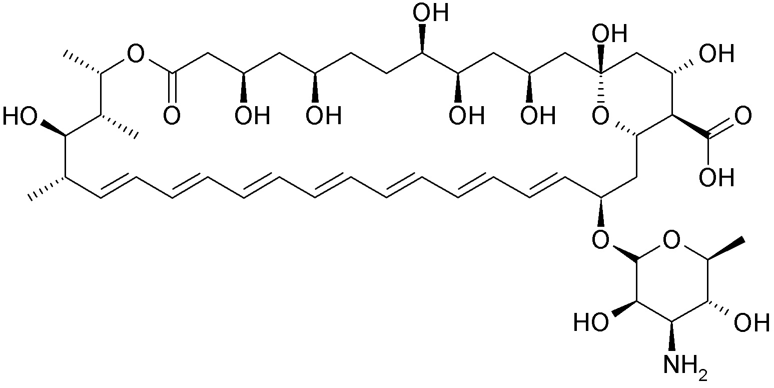
Antifungic   Amphotericin B  
Aerosol
colir Gargara Injectabil Soluţie orală
Stabilitatea preparatelor farmaceutice Stabilitatea in amestec Factorii care influenteaza stabilitatea Compatibilitate Bibliografie pdf
   Formula chimica  

Aerosol
Bibliografie   Aerosol   Bibliografie : Amphotericin B  
tip publicare
3069 ziar Juarez JC, ,Lopez RM, Hucto M et al.
Stability of amphotericin B in water solution for inhalation.
Eur Hosp Pharm 1997 ; 3: 59-60.

  Mentions Légales